АФС/АФА | - | антифосфолипидный синдром/антифосфолипидные антитела |
|---|---|---|
АГ | - | артериальная гипертензия |
АГБ | - | артериальная гипертензия во время беременности |
БПР | - | бипариетальный размер |
БФП | - | биофизический профиль плода |
ВДМ | - | высота стояния дна матки над лонным сочленением |
ВП | - | венозный проток |
ВПР | - | врожденные пороки развития |
ГБ | - | гипертоническая болезнь |
ГГ | - | гестационная гипертензия |
ГРБ | - | гипертензивное расстройства беременных |
ДБ | - | длина бедра |
ДИ | - | доверительный интервал |
ЗРП | - | задержка роста плода |
ИМТ | - | индекс массы тела |
ИППП | - | инфекции, передаваемые половым путем |
КГВ | - | крупный для гестационного возраста плод (= LGA) |
КДК | - | конечно-диастолическая скорость кровотока (конечно-диастолический кровоток) |
кКТГ | - | компьютеризированная кардиотокограмма (= cCTG) |
КТГ | - | кардиотокография плода |
КТР | - | копчико-теменной размер |
МА | - | маточная артерия |
МВК | максимальный вертикальный карман | |
МГВ | - | малый/маловесный для гестационного возраста плод, маловесность для гестационного возраста (= SGA) |
НКДК | - | нулевой конечно-диастолический кровоток |
ОГ | - | окружность головы |
ОЖ | - | окружность живота |
ОР | - | относительный риск |
ОШ | - | отношение шансов |
ПА | - | пупочная артерия (артерия пуповины) |
ПИ | - | пульсационный индекс |
ПМП | - | предполагаемая масса плода |
ПЭ | - | преэклампсия |
РДС | - | респираторный дистресс -синдром |
РКДК | - | реверсный конечно-диастолический кровоток |
РКИ | - | рандомизированное клиническое испытание |
СГВ | - | соответствующий гестационному возрасту (=AGA) |
СМА | - | cредняя мозговая артерия |
УДД | - | уровень достоверности доказательств |
УУР | - | уровень убедительности рекомендаций |
ХА | - | хромосомные анеуплоидии |
ХГ | - | хроническая гипертензия |
ЦМВ | - | цитомегаловирус |
ЦПО | - | церебро-плацентарное отношение |
ЧСС | - | частота сердечных сокращений |
AGA | - | Appropriate for gestational age |
DIGITAT | - | Disproportionate Intrauterine Growth Intervention Trial At Term |
FGR | - | fetal growth restriction |
GRIT | - | Growth restriction intervention trial |
ISUOG | - | The International Society of Ultrasound in Obstetrics and Gynecology (Международное общество специалистов ультразвуковой диагностики в акушерстве и гинекологии |
IUGR | - | intrauterine growth restriction |
LGA | - | Large for gestational age |
MgSO4 | - | сульфат магния |
MoM | - | MoM - multiple of median (значение, кратное медиане) |
PAPP-A | - | ассоциированный с беременностью протеин плазмы А |
PlGF | - | плацентарный фактор роста |
SD | - | стандартное отклонение |
sFlt-1 | - | растворимая fms-подобная тирозинкиназа 1 |
STV | - | кратковременная вариабельность (short term variation) |
TRUFFLE | - | Trial of umbilical and fetal flow in Europe |
Недостаточный рост плода, требующий предоставления медицинской помощи матери (задержка роста плода)
Список сокращений
Термины и определения
Задержка роста плода (ЗРП) – термин, характеризующий патологически маленького плода, который не достиг своего потенциала роста и имеет высокий риск перинатальных осложнений (отмечается значимое замедление показателей прироста предполагаемой массы плода (ПМП) и/или окружности живота (ОЖ) <10-го процентиля в сочетании с патологическим кровотоком по данным УЗ-допплерографии или значения ПМП и/или ОЖ <3-го процентиля).
Малый для гестационного возраста плод (МГВ, англ. - small for gestational age, SGA) – гетерогенная группа плодов с размерами ниже предопределенного порогового значения для соответствующего гестационного возраста, но низким риском перинатальных осложнений (плод со значения ПМП/ОЖ в интервале от 3-его до 9-ого процентиля в сочетании с нормальными показателями кровотока по данным УЗ-допплерографии и динамикой прироста ПМП и/или ОЖ) и плодов, имеющих конституционально малый размер.
Процентиль (= перцентиль, = процентиль) – статистический параметр, который определяет, каким является измеряемый показатель (рост, масса тела, индекс массы тела (ИМТ) и др.) у индивидов одинакового возраста и пола среди всего населения. Значение показателя отражает позицию индивида в сравнении со своими сверстниками. Каждый процентиль выражает одну сотую часть частоты проявления среди всего населения
Кардиотокография плода (КТГ) – это метод функциональной оценки состояния плода во время беременности и в родах на основании регистрации частоты его сердцебиения и его изменения в ответ на сокращения матки, воздействия внешних раздражителей или активности самого плода. КТГ является неотъемлемой частью комплексной оценки состояния плода наряду с ультразвуковым исследованием и УЗ-допплерографией.
Критерии Dawes-Redman (Доуза-Редмана) – кардиотокографические критерии, используемые для оценки состояния плода, к которой дополнительно относятся значения кратковременной (КВВ) и долговременной (ДВВ) вариабельности.
Нестрессовый тест – естественная неинвазивная функциональная проба плода, характеризующая его антенатальноесостояние. Обычно достаточно при КТГ учитывать наличие акцелераций, обусловленных движением плода. Тест считается положительным (реактивным, нормальным), если в течение 20 минут наблюдения на КТГ регистрируются не менее 2 акцелераций. Если 2 акцелерации регистрируются за более короткий период времени (менее 20 минут), тест прекращают, считая его реактивным.
Кратковременная вариабельность (КВВ, англ. - short term variation STV) – показатель разности между средними пульсовыми интервалами, зарегистрированными в течение предыдущего и последующего промежутка, равного 1/16 минуты (4 с). В норме КВВ составляет 4-10 мс.
Долговременная вариабельность (ДВВ, англ. - long-term variability LTV) – показатель, характеризующий вариабельность сердечного ритма плода, вычисляется как среднее значение разницы между минимальными и максимальными пульсовыми интервалами за каждую минуту или в случае длительной акцелерации между максимальной амплитудой и базальным уровнем. Нормальное значение ДВВ при физиологически протекающей беременности соответствует 50 мс, что почти эквивалентно 17 уд/мин. Нижняя граница нормальных значений ДВВ – 30 мс.
1. Краткая информация по заболеванию или состоянию (группы заболеваний или состояний)
1.1 Определение заболевания или состояния (группы заболеваний или состояний)
Задержка роста плода (ЗРП) – термин, характеризующий патологически маленького плода, который не достиг своего потенциала роста и имеет высокий риск перинатальных осложнений (отмечается значимое замедление показателей прироста предполагаемой массы плода (ПМП) и/или окружности живота (ОЖ) <10-го процентиля в сочетании с патологическим кровотоком по данным УЗ-допплерографии либо значения ПМП и/или ОЖ <3-го процентиля).
Малый для гестационного возраста плод (МГВ, англ. - small for gestational age, SGA) – гетерогенная группа плодов с размерами ниже предопределенного порогового значения для соответствующего гестационного возраста, но низким риском перинатальных осложнений (плод со значения ПМП/ОЖ в интервале от 3-его до 9-ого процентиля в сочетании нормальными показателями кровотока по данным УЗ-допплерографии и динамикой прироста ПМП и/или ОЖ), а также плодов, имеющих конституционально маленький размер.
1.2 Этиология и патогенез заболевания или состояния (группы заболеваний или состояний)
Причины, приводящие к развитию ЗРП можно разделить на 4 группы: материнские, плацентарные, плодовые и генетические [1–6]. Несмотря на то, что патофизиология их различна, все они, в конечном счете, ведут к одному и тому же результату: снижению маточно-плацентарной перфузии и питания плода [7, 8]. Имеются данные о возможном негативном влиянии ИППП, а также цитомегавирусной инфекции у плода [9]. Частота таких хромосомных аномалий как: трисомии 13 (синдром Патау), 18 (синдром Эдвардса) и 21 хромосом (синдром Дауна), при ЗРП выше общепопуляционной и может достигать 7-19% [10, 11]. Факторы риска ЗРП приведены в Приложении А3.3.
1.3 Эпидемиология заболевания или состояния (группы заболеваний или состояний)
Частота ЗРП составляет 5-10% [12–14], при отягощенном акушерско-гинекологическом анамнезе и осложненной беременности - 10–25% [15]. Частота ЗРП обратно пропорциональна сроку доношенной беременности и может достигать 60% среди родившихся недоношенными [16].
При массе плода (масса тела при рождении) менее 10-го процентиля отмечается более высокий риск перинатальной смертности [17–21], в том числе мертворождения [17, 22]. Наиболее высокий риск данных осложнений наблюдался у плодов с массой тела при рождении менее 3-го процентиля [17, 18].
ЗРП – фактор риска интранатальных осложнений [23, 24], а также различных, нередко тяжелых неврологических и ментальных дефицитов после рождения [25, 26].
1.4 Особенности кодирования заболевания или состояния (группы заболеваний или состояний) по Международной статистической классификации болезней и проблем, связанных со здоровьем
O36.5 – Недостаточный рост плода, требующий предоставления медицинской помощи матери.
P05 – Замедленный рост и недостаточность питания плода.
P07 – Расстройства, связанные с укорочением срока беременности и малой массой тела при рождении, не классифицированные в других рубриках.
O43 – Плацентарные нарушения.
1.5 Классификация заболевания или состояния (группы заболеваний или состояний)
В зависимости от начала манифестации различают два основных фенотипа ЗРП: ранний (при постановке диагноза до 32 нед. беременности) и поздний (при постановке диагноза после 32 нед.), которые значительно различаются, в первую очередь, по прогнозу для плода (Приложение А3.1) [27–30]. В клинической практике повсеместно используются критерии (клинические, эхографические и патологические УЗ-допплерографические характеристики), разработанные международным консенсусом, достигнутым в рамках протокола Delphi (Приложение А3.2) [31–33].
Критерии диагноза ЗРП варьируют в зависимости от руководства и авторских групп [34]. Критерии, предложенные международным консенсусом Delphi, являются наиболее признанными [31]. Также используются критерии ЗРП на основе ПМП <10-го процентиля с использованием стандарта роста, разработанного Hadlock et al. [30, 35]. Оба критерия имеют сопоставимые характеристики, в то же время применение критериев Delphi связано с лучшим прогнозом неблагоприятных неонатальных исходов.
Термины «симметричная форма», «асимметричная форма» ЗРП в настоящее время не рекомендуются к использованию, так как считается, что они не предоставляют дополнительной информации относительно этиологии или прогноза состояния плода [32, 33].
1.6 Клиническая картина заболевания или состояния (группы заболеваний или состояний)
При ЗРП отсутствует специфическая клиническая картина, однако ЗРП часто сочетается с преэклампсией [36, 37] и при дебюте преэклампсии необходимо исключать ЗРП.
2. Диагностика заболевания или состояния (группы заболеваний или состояний) медицинские показания и противопоказания к применению методов диагностики
Рост плода (физическое развитие плода) — это динамический процесс, выявление его нарушений требует многократного контроля за темпами прироста плода на протяжении беременности. Физические параметры (размеры) плода определяются при измерении в ходе УЗИ окружности головы (ОГ), бипариетального размера головы (БПР), ОЖ, длины бедренной кости (ДБ) и/или ПМП, вычисляемой по различным формулам. В данных КР используется терминология для описания отклонений роста/развития плода, приведенная в таблице 2 . Выявление ЗРП часто бывает затруднительным, поскольку рост плода не может быть оценен при однократном измерении его размеров, а потенциал роста является понятием гипотетическим [32].
Таблица 2 Определения МГВ и ЗРП [22, 23, 38, 39]
Термин | Определение |
|---|---|
Малый/маловесный для гестационного возраста (МГВ) | Плод со значения ПМП/ОЖ в интервале от 3-го до 9-го процентиля в сочетании нормальными показателями кровотока по данным ультразвуковой допплерографии и нормальной динамикой прироста ПМП и/или ОЖ |
Задержка роста плода (ЗРП) | Замедление прироста показателей предполагаемой массы плода (ПМП) и/или окружности живота (ОЖ) либо значения ПМП и/или ОЖ <10-го процентиля в сочетании с патологическими показателями кровотока по данным ультразвуковой допплерографии; или значения ПМП и/или ОЖ <3-го процентиля |
Выраженная ЗРП | ПМП <3-го процентиля |
Основное различие между МГВ и ЗРП заключается в том, что МГВ плод может быть маленьким, но не подвержен повышенному риску неблагоприятного перинатального исхода, в то время как плод с размером выше 10-го процентиля может иметь ЗРП и иметь повышенный риск неблагоприятного перинатального и отдаленного исхода. | |
2.1 Жалобы и анамнез
- Рекомендована оценка факторов риска ЗРП при 1-м визите беременной пациентки [12–14].
Уровень убедительности рекомендаций С (уровень достоверности доказательств – 5).
2.2 Физикальное обследование
Физикальное обследование во время беременности должно соответствовать клиническим рекомендациям «Нормальная беременность»1
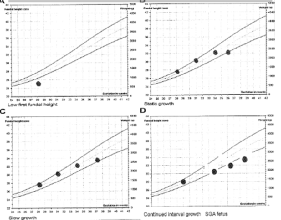
- Рекомендовано измерение ВДМ с последующим использованием специальных таблиц роста как первый уровень скрининговой диагностики ЗРП [40], несмотря на ограниченную ценность [6, 41–44] .
Уровень убедительности рекомендаций С (уровень достоверности доказательства – 4).
Комментарий: несмотря на невысокую чувствительность и специфичность, определение массо-ростовых показателей и ВДМ является единственными общедоступными методами рутинного физикального обследования. Необходимо измерять ВДМ и вносить данные в индивидуальные графики - гравидограммы (см. Приложение А3.8); диагностировать субоптимальный рост плода, применяя правило Макдональда, когда высота стояния дна матки меньше, чем на ≥ 3 см соответствующего срока беременности в неделях [46].
- Рекомендовано измерение ВДМ с 22 недель беременности с целью выявления недостаточного роста плода [47].
Уровень убедительности рекомендаций С (уровень достоверности доказательства – 5).
Комментарий: измерение ВДМ с 22 недель может способствовать своевременному выявлению МГВ, поскольку отставание роста может появиться как между 22- и 32-недельными ультразвуковыми исследованиями, так и после 32 недель беременности. Высота стояния дна матки, не соответствующая сроку беременности, а также ИМТ> 35 кг/м2, наличие миомы матки больших размеров, многоводия и т.д. являются показанием к дополнительному ультразвуковому исследованию.
- Рекомендовано УЗИ плода с оценкой объема околоплодных вод после 26 недель, если ВДМ на 3 см меньше соответствующего срока беременности в неделях [19].
Уровень убедительности рекомендаций С (уровень достоверности доказательства – 4).
2.3 Лабораторные диагностические исследования
Перечень лабораторных диагностических исследований во время беременности должен соответствовать клиническим рекомендациям «Нормальная беременность».1
- Рекомендовано обследование матери на TОRCH-инфекции агенты (определение антител к токсоплазме (Toxoplasma gondii) в крови, определение антител к вирусу краснухи (Rubella virus) в крови, определение антител к цитомегаловирусу (Cytomegalovirus) в крови, определение антител к вирусу простого герпеса (Herpes simplex virus) в крови ), если предполагается, что причиной раннего ЗРП является трансплацентарная инфекция [45].
Уровень убедительности рекомендаций С (уровень достоверности доказательства – 5).
Комментарии: цитомегаловирусная инфекция является наиболее часто выявляемым заболеванием. Пациентки с подозрением на врожденные инфекции должны быть направлены в соответствующий региональный центр медицины матери и плода для дальнейшего обследования.
- Беременным группы риска рекомендовано исследование уровня связанного с беременностью плазменного протеина А (PAPP-A) в сыворотке крови и/или PIGF в сыворотке крови беременной в рамках скрининга 1-го триместра беременности для выявления высокого риска развития МГВ и ЗРП [24, 48–53].
Уровень убедительности рекомендаций А (уровень достоверности доказательства – 1).
Комментарий: РАРР-А является биомаркером функции плаценты в первом триместре, несмотря на ограниченную прогностическую значимость [51, 52].
При наличии возможности при подозрении на ЗРП в период от жизнеспособности до 36 недель определить только PlGF или соотношение sFlt1/PlGF [45].
- Не рекомендовано исследование уровня белка А, связанного с беременностью, в крови (РАРР-А) беременной пациентки с целью диагностики ЗРП [32].
Уровень убедительности рекомендаций С (уровень достоверности доказательства – 5).
Комментарий: согласно некоторым исследованиям, использование соотношения плацентарного фактора роста (PlGF) и растворимой fms-подобной тирозинкиназы-1 (sFlt-1) в сыворотке крови может быть полезным в дифференциальной диагностике МГВ и ЗРП [41, 53–57]. Однако отсутствие убедительных интервенционных клинических испытаний в настоящее время не позволяют рекомендовать эти маркеры в качестве дополнительного диагностического критерия к УЗИ.
2.4 Инструментальные диагностические исследования
Перечень инструментальных диагностических исследований во время беременности должен соответствовать клиническим рекомендациям «Нормальная беременность».1
Ультразвуковое исследование
Важность УЗИ в ранние сроки беременности подтверждена многими исследователями [33, 48, 58–63].
- Рекомендовано при УЗИ плода при сроке беременности 11-136 недель измерение копчико-теменного размера (КТР) плода и при расхождении результатов на ≥ 5 дней с данными первого дня последней менструации производить коррекцию определения срока беременности по результатам УЗИ [64, 65].
Уровень убедительности рекомендаций А (уровень достоверности доказательств – 1).
- Беременным, включенным в группу высокого риска, рекомендовано проведение УЗИ плода в 30-34 недели беременности с целью своевременной диагностики ЗРП [1, 31, 42, 43, 66–70] (приложение А3.9).
Уровень убедительности рекомендаций С (уровень достоверности доказательств – 5).
Комментарий: при более ранней или более поздней манифестации ЗРП пациентке могут быть назначены дополнительные УЗИ. При УЗИ плода следует провести оценку ОЖ, ОГ, БПД, ДБ, ПМП, измерение максимального вертикального кармана (МВК) амниотической жидкости. Маловодие устанавливается при значениях МВК жидкости менее 2 см, значениях индекса амниотической жидкости менее 5 см [67, 71, 72]. В протоколе УЗИ должен быть указан процентиль ПМП. В 95% случаев возможно отклонение (ошибка расчета) ПМП до 20% от массы тела при рождении [42, 65] (приложения А3.5, А3.6).
- Не рекомендовано устанавливать диагноз ЗРП на основании только одного размера плода, если ОЖ или ПМП не ниже 3-го процентиля [32].
Уровень убедительности рекомендаций С (уровень достоверности доказательств – 5).
- Рекомендовано направлять беременную пациентку с момента постановки диагноза ЗРП или МГВ на УЗИ плода каждые 2 недели до родоразрешения с целью динамического контроля за ростом плода [65, 73–76].
Уровень убедительности рекомендаций А (уровень достоверности доказательств – 2).
В настоящее время для оценки отклонений в физическом развитии родившегося ребенка используют шкалы INTERGROWTH-21 и центильные таблицы ВОЗ. Центильные значения ВОЗ более чувствительны для выявления плодов малых для гестационного возраста, все последние публикации рекомендуют использовать значения ВОЗ, если нет доступа к кастомизированным значениям [77]. Если масса и/или длина тела ниже 10-го перцентиля и имеются патологические УЗ-допплеровские характеристики, у ребенка диагностируется ЗРП. Показатели менее 3-го перцентиля свидетельствуют об умеренной или тяжелой ЗРП [40, 78–81].
Ультразвуковое допплеровское исследование маточно-плацентарного кровотока
- Рекомендовано направлять беременную пациентку группы высокого риска ЗРП на ультразвуковую доплерографию маточно-плацентарного кровотока в объеме определения ПИ в артерии пуповины и маточных артериях во втором (при сроке беременности 18-20+6 недель) и в третьем триместрах беременности (при сроке беременности 30-34 недели) с целью своевременной диагностики нарушения кровотока [32, 38, 39, 48, 82] (приложения А3.4, А3.11 и А3.12.).
Уровень убедительности рекомендаций С (уровень достоверности доказательств – 4).
- Рекомендовано направлять беременную пациентку с диагнозом МГВ на ультразвуковую допплерографию маточно-плацентарного кровотока в объеме определения ПИ в артерии пуповины и маточных артерий каждые 2 недели до 32 недели беременности для своевременного выявления ЗРП [34, 83–87].
Уровень убедительности рекомендаций С (уровень достоверности доказательств – 5).
Комментарий: допплеровские сигналы в артериях пуповины обычно являются аномальными при задержке роста плода на ранних стадиях, вызванной плацентой, и обычно нормальными при задержке роста плода на поздних стадиях, вызванной плацентой. Результаты УЗ-допплеровского исследования артерии пуповины могут быть аномальными, если задержка роста плода обусловлена анеуплоидией (например, трисомией 18, трисомией 21 и др.) или другими врожденными пороками развития плода [45].
- Рекомендовано направлять беременную пациентку с МГВ плодом после 32 недель беременности на ультразвуковую допплерографию маточно-плацентарного кровотока объеме определения ПИ в артерии пуповины, маточных артерий и ЦПО 1 раз в неделю для своевременного выявления ЗРП [32].
Уровень убедительности рекомендаций С (уровень достоверности доказательств – 5).
Комментарий: после 32 недель беременности у пациенток с МГВ и нарушением ПИ в МА имеет место риск развития ЗРП [82].
- Рекомендовано направлять с 32 недель беременности пациентку с замедлением динамики роста ПМП и/или ОЖ на более чем 50 цроцентилей между предыдущим и данным измерениями на ультразвуковую допплерографию маточно-плацентарного кровотока в объеме определения ПИ в артерии пуповины, маточных артериях и ЦПО для своевременной диагностики ЗРП [84–86, 88–90].
Уровень убедительности рекомендаций А (уровень достоверности доказательств – 1).
Комментарий: в настоящее время, при наблюдении за пациенткой с поздней ЗРП ЦПО является одним из наиболее важных показателей. При наличии ПИ в артерии пуповины > 95-го процентиля показан мониторинг ЦПО не реже одного или двух раз в неделю (см. Приложение Б) [27]. Исследование ЦПО и кровотока в СМА плода в сроках беременности до 32 недель беременности не влияет на выбор срока родоразрешения и прогнозирование неблагоприятных исходов [91–93].
- Рекомендовано направлять беременную пациентку с ЗРП на комплексное исследование, включающее и ультразвуковую допплерографию маточно-плацентарного кровотока и фето-плацентарного кровотока и КТГ для оценки состояния плода [32, 48].
Уровень убедительности рекомендаций С (уровень достоверности доказательств – 5).
- Рекомендовано ультразвуковая допплерография маточно-плацентарного кровотока в объеме: ПИ АП до 32 недель, ПИ АП, ПИ СМА, ЦПО с 32 недель беременности 1-2 раза в неделю; КТГ 1-2 раза в неделю с 37 недель беременности в случаях выраженной ЗРП с ПМП < 3-го процентиля, отсутствии нарушений допплеровских показателей и маловодия для оценки состояния плода [48, 94–96].
Уровень убедительности рекомендаций С (уровень достоверности доказательств – 3).
- Рекомендовано проводить ультразвуковую допплерографию маточно-плацентарного кровотока в объеме: ПИ АП до 32 недель, ПИ АП, ПИ СМА, ЦПО с 32 недель беременности 1-2 раза в неделю. КТГ: 2 раза в неделю в случаях ЗРП с невыраженными нарушениями допплеровских показателей (повышение ПИ в артериях пуповины и/или снижение ЦПО) и/или маловодием для оценки состояния плода [48, 94–96].
Уровень убедительности рекомендаций С (уровень достоверности доказательств – 3).
- Рекомендовано проводить ультразвуковую допплерографию маточно-плацентарного кровотока в объеме: ПИ АП, венозный проток каждые 24 - 48 часов. КТГ: 1-2 раза в день в случаях ЗРП с нулевым диастолическим кровотоком в артерии пуповины для оценки состояния плода [48, 94–96].
Уровень убедительности рекомендаций С (уровень достоверности доказательств – 3).
- Рекомендовано проводить ультразвуковую допплерографию маточно-плацентарного кровотока в объеме: ПИ АП, венозный проток каждые 24 часа. КТГ: 2 раза в день в случаях ЗРП с реверсным диастолическим кровотоком в артерии пуповины для определения оптимального срока родоразрешения [48, 94–96].
Уровень убедительности рекомендаций С (уровень достоверности доказательств – 3).
- В случаях ЗРП с нарушениями кровотока в венозном протоке (нулевая и/или реверсная а-волна) рекомендовано проводить ультразвуковую допплерографию маточно-плацентарного кровотока в объеме: ПИ АП, венозный проток каждые 24 часа. КТГ: 2 раза в день [48, 97–101].
Уровень убедительности рекомендаций А (уровень достоверности доказательств – 2).
Комментарий: снижение двигательной активности плода в сочетании с изменениями кровотока в ВП может свидетельствовать о наличии ацидоза (pH в пуповине плода <7,20) [91, 102].
Кардиотокография плода (КТГ)
- При подозрении на ЗРП или МГВ рекомендовано направлять беременную пациентку на КТГ плода c 28 недель беременности [94, 100, 103].
Уровень убедительности рекомендаций А (уровень достоверности доказательств – 2).
Комментарий: несмотря на высокую частоту ложноположительных результатов в прогнозировании неблагоприятного состояния плода, КТГ плода является ценным методом диагностики острых состояний [94, 100, 103].
Предпочтительнее проводить кКТГ с оценкой STV в качестве основного параметра. Патологическими показателями кКТГ являются: STV <2,6 мс независимо от срока беременности, и STV <3 мс в сроке 29 и более недель, спонтанные повторные децелерации [32, 48].
Если кКТГ недоступна, то применяется стандартная визуальная оценка КТГ (нестрессовый тест (НСТ) (приложение А3.7).
- Беременной пациентке с ЗРП не рекомендована оценка функционального состояния плода при помощи биофизического профиля плода (БФП) в виду его низкой прогностической ценности [27, 28, 95].
Уровень убедительности рекомендаций А (уровень достоверности доказательств – 1).
Комментарий: оценка БФП - это суммарный результат двух способов мониторинга системы мать-плацента-плод: УЗИ и КТГ. УЗ-мониторинг включает оценку количества околоплодных вод, а также нескольких типов двигательной активности плода (генерализованных движений тела, дыхательных движений, мышечного тонуса). КТГ-мониторинг позволяет изучать изменчивость (вариабельность) сердечного ритма плода. Патологические результаты БФП используются для предсказания ацидемии у плода в странах, где рутинно не применяется ультразвуковая допплерография маточно-плацентарного кровотока [94].
2.5 Иные диагностические исследования
Перечень иных диагностических исследований во время беременности должен соответствовать клиническим рекомендациям «Нормальная беременность»1.
- Рекомендовано направлять пациентку с ранней ЗРП на консультацию к врачу-генетику для исключения хромосомной патологии плода [104–106].
Уровень убедительности рекомендаций С (уровень достоверности доказательств – 4).
3. Лечение, включая медикаментозную и немедикаментозную терапии, диетотерапию, обезболивание, медицинские показания и противопоказания к применению методов лечения
Немедикаментозные, медикаментозные методы коррекции жалоб, характерных для беременности, и назначение витаминов и пищевых добавок во время беременности должно соответствовать клиническим рекомендациям «Нормальная беременность»1.
3.1.Родоразрешение
Алгоритм действий врача представлен в приложении Б.
- Рекомендовано родоразрешение в 37-39 недель беременности при нормальных показателях ЦПО у беременной с МГВ плодом [45, 96, 98].
Уровень убедительности рекомендаций А (уровень достоверности доказательств – 2).
- Рекомендовано родоразрешение в 36-38 недель беременности в случаях выраженной ЗРП с ПМП < 3-го процентиля в случаях отсутствия нарушений допплеровских показателей и маловодия [32, 48, 96, 98, 107].
Уровень убедительности рекомендаций А (уровень достоверности доказательств – 2).
- Рекомендовано родоразрешение в 34-37 недель беременности в случаях ЗРП с невыраженным нарушениями допплеровских показателей (повышение ПИ в артериях пуповины или маточных артериях или снижение ЦПО), маловодием [32, 48, 96, 98, 107].
Уровень убедительности рекомендаций С (уровень достоверности доказательств – 5).
- Рекомендовано родоразрешение в 32 - 34 недели беременности в случаях ЗРП с нулевым диастолическим кровотоком в артерии пуповины [32, 48, 96, 98, 107].
Уровень убедительности рекомендаций С (уровень достоверности доказательств – 5).
- Рекомендовано родоразрешение в 30 - 32 недели беременности в случаях ЗРП с реверсным диастолическим кровотоком в артерии пуповины [32, 48, 96, 98, 107].
Уровень убедительности рекомендаций С (уровень достоверности доказательств – 5).
- Рекомендовано родоразрешение в 26 - 30 недели беременности в случаях ЗРП с нарушениями кровотока в венозном протоке (нулевая или реверсная а-волна) [32, 48, 97–100].
Уровень убедительности рекомендаций А (уровень достоверности доказательств – 2).
- Рекомендовано решать вопрос о родоразрешении на перинатальном консилиуме после разъяснения родителям высокого риска младенческой заболеваемости и смертности в сроках до 26 недель беременности [32, 48, 99].
Уровень убедительности рекомендаций С (уровень достоверности доказательств – 5).
- Рекомендовано родоразрешение беременной с ЗРП при спонтанном повторяющемся стойком неспровоцированном замедлении ЧСС плода (децелерации) [32, 48].
Уровень убедительности рекомендаций C (уровень достоверности доказательств – 5).
- Рекомендовано беременной с ЗРП родоразрешение при показателе STV по данным кКТГ <3,5 мс в 320 - 336 недель и <4,5 мс в сроке беременности ≥ 340 недель [32].
Уровень убедительности рекомендаций C (уровень достоверности доказательств – 5).
- Не рекомендуется родоразрешение через естественные родовые пути беременной с ЗРП и тазовым предлежанием при ПМП <2500,0 г [108].
Уровень убедительности рекомендаций С (уровень достоверности доказательств – 5).
- Рекомендовано родоразрешение путем кесарева сечения беременной с ЗРП при наличии одного или нескольких следующих признаков: патологические данные КТГ, нулевой или реверсный диастолический кровоток в артериях пуповины, нарушения кровотока в ВП по данным УЗ-допплеровского исследовани, показания со стороны матери [32, 48, 101].
Уровень убедительности рекомендаций С (уровень достоверности доказательств – 5).
- При необходимости преиндукции родов беременной с ЗРП рекомендовано использование механических методов (катетер Фолея, ламинарии и тп) для снижения риска гиперстимуляции [109].
Уровень убедительности рекомендаций А (уровень достоверности доказательств – 1).
- Роженице с ранней ЗРП рекомендована регионарная анестезия, так как она является предпочтительной как при родах через естественные родовые пути, так и при плановом кесаревом сечении [32].
Уровень убедительности рекомендаций С (уровень достоверности доказательств – 5).
3.2.Медикаментозная терапия
- Рекомендовано перед родоразрешением в сроке до 32 недель с целью нейропротекции вводить #магния сульфат** по следующей схеме: 4 г сухого вещества в течении 20 мин, затем 1 г сухого вещества в час внутривенно не менее 12 часов, но не больше 24 часов [110–113].
Уровень убедительности рекомендаций С (уровень достоверности доказательств – 5).
- Не рекомендовано назначение гестагенов и/или производных прегнандиена (АТХ: G03DA производные прегн-4-ена) для лечения ЗРП [114].
Уровень убедительности рекомендаций А (уровень достоверности доказательств – 1).
- Не рекомендовано назначение #силденафила для лечения ЗРП [115, 116].
Уровень убедительности рекомендаций В (уровень достоверности доказательств – 3).
- Не рекомендовано рутинное назначение препаратов гепарина и его производных (АТХ: B01AB группа гепарина) для лечения ЗРП [117–119].
Уровень убедительности рекомендаций А (уровень достоверности доказательств –1).
- Не рекомендован постельный режим и диета, обогащенная макро-и микроэлементами для лечения ЗРП [120].
Уровень убедительности рекомендаций А (уровень достоверности доказательств – 1).
- Не рекомендовано изменение диеты, специальные формы питания или дополнительное потребление пищевых добавок для лечения ЗРП [121–126].
Уровень убедительности рекомендаций А (уровень достоверности доказательств – 1).
- Не рекомендована оксигенотерапия для лечения ЗРП [127].
Уровень убедительности рекомендаций А (уровень достоверности доказательств – 1).
- Не рекомендовано назначение доноров оксида азота и другие сосудорасширяющих веществ для лечения ЗРП [128].
Уровень убедительности рекомендаций С (уровень достоверности доказательств – 5).
4. Медицинская реабилитация и санаторно-курортное лечение, медицинские показания и противопоказания к применению методов медицинской реабилитации, в том числе основанных на использовании природных лечебных факторов
Не применимо.
5. Профилактика и диспансерное наблюдение, медицинские показания и противопоказания к применению методов профилактики
Методы профилактики осложнений во время беременности должны соответствовать клиническим рекомендациям «Нормальная беременность»1.
- На этапе предгравидарной подготовки или при 1-м визите беременной пациентки рекомендовано оценить факторы риска ЗРП [12, 13, 45, 129]. Факторы риска ЗРП приведены в приложении А3.3.
Уровень убедительности рекомендаций С (уровень достоверности доказательств – 4).
Комментарии: диагностическую ценность имеет 1 фактор риска с отношением шансов (ОШ) больше 2,0 или сочетание 3 и более факторов с отношением шансов (ОШ) менее 2,0. Данные пациенты должны быть включены в группу высокого риска по ЗРП.
- Рекомендовано проводить расчет индивидуального риска ЗРП при проведении скрининга 1-го триместра беременности, который включает комбинацию материнских факторов риска, показателей ПИ в маточных артериях и исследование уровня РАРР-А в сыворотке крове беременной. Пациентки со значениями риска ЗРП ≥ 1:100 должны быть включены в группу высокого риска2[5].
Уровень убедительности рекомендаций С (уровень достоверности доказательств – 4).
- Беременной пациентке с риском ЗРП и преэклампсии рекомендовано назначить пероральный прием #ацетилсалициловой кислоты** с 12 недель беременности до 36 недель беременности по 150 мг/день [102, 130, 131].
Уровень убедительности рекомендаций А (уровень достоверности доказательств – 1).
Комментарий: анализ приоритетных публикаций убедительно продемонстрировал преимущества вечернего приема (перед сном) низких доз аспирина (150 мг), начатого до 16 недель и продолженного до 36 недель беременности с целью снижения риска ранней ЗРП, выявленного на основании результатов расширенного комбинированного скрининга 1-го триместра беременности [102, 130, 131]. Возможно применение низкомолекулярного гепарина в комбинации с низкими дозами аспирина для профилактики задержки роста плода, связанной с преэклампсией [45].
- Пациентке при наличии факторов риска ЗРП и ожирением или недостаточной массой тела рекомендовано достижение ИМТ<30 кг/м2 и >18 кг/м2 , соответственно [12, 132, 133].
Уровень убедительности рекомендаций С (уровень достоверности доказательств – 4).
- Пациентке при наличии факторов риска ЗРП рекомендован отказ от курения [12, 132, 134].
Уровень убедительности рекомендаций С (уровень достоверности доказательств – 4).
- Беременной пациентке с сахарным диабетом рекомендовано поддерживать целевые показатели гликемии с целью профилактики гипогликемии [47].
Уровень убедительности рекомендаций С (уровень достоверности доказательств – 5).
- Беременным пациенткам с выраженной ЗРП (ниже третьего процентиля) в анамнезе и индуцированных преждевременных родах на сроке до 34 недель беременности рекомендовано определение содержания антител к фосфолипидам в крови для диагностики и своевременного лечения антифосфолипидного синдрома, как возможного этиологического фактора ЗРП [6].
Уровень убедительности рекомендаций С (уровень достоверности доказательств – 3).
1 https://yadi.sk/i/6WWXSxDEH7sjow
2 Приказ № 1130н от 20.10.2020 г. – "Порядок оказания медицинской помощи по профилю акушерство и гинекология"
6. Организация оказания медицинской помощи
Показания к госпитализации в стационар 3-ей группы:
ЗРП в сочетании с нарушениями допплерографических показателей и/или маловодием;
нарушение состояния плода по данным КТГ.
Показания к выписке из стационара:
- положительная динамика параметров, послуживших показанием к госпитализации.
7. Дополнительная информация (в том числе факторы, влияющие на исход заболевания или состояния)
Не применимо.
Критерии оценки качества медицинской помощи
№ | Критерии качества | Оценка выполнения критерия |
|---|---|---|
1. | Проведено направление беременной пациентки группы высокого риска задержки роста плода на ультразвуковое исследование плода в 30-34 недели беременности | Да/Нет |
2. | Проведено направление беременной пациентки с задержкой роста плода на ультразвуковое исследование плода каждые 2 недели до родоразрешения | Да/Нет |
3. | Проведено направление беременной пациентки группы высокого риска задержки роста плода на ультразвуковую допплерографию маточно-плацентарного и фето-плацентарного кровотока во время 2-го УЗИ (при сроке беременности 18-206 недель), и в 3-м триместре беременности (при сроке беременности 30-34 недели) | Да/Нет |
4. | Проведено направление беременной пациентки с ранней задержкой роста плода на комплексное исследование, включающее кардиотокографию плода и ультразвуковую допплерографию маточно-плацентарного и фето-плацентарного кровотока | Да/Нет |
5. | Проведено своевременное родоразрешение пациентки с ранней задержкой роста плода: в 260 - 296 недель при нулевой или реверсной a-волне в венозном протоке; в 30 - 316 недель в случаях ЗРП с реверсным диастолическим кровотоком в артерии пуповины; в 320 - 336 недели - с нулевым диастолическим кровотоком в артерии пуповины или STV <3,5 мс; в сроке ≥ 340 нед - при невыраженных нарушениях допплерографических показателей (повышение ПИ в артериях пуповины или маточных артериях или снижение ЦПО), маловодии или STV <4,5 мс. | Да/Нет |
6. | Проведено родоразрешение путем кесарева сечения в плановом порядке пациентки с ранней задержкой роста плода при наличии одного или нескольких из следующих признаков: патологическая STV по данным кардиотокографии плода, нулевой или реверсный конечно-диастолический кровоток в венозном протоке, показания со стороны матери | Да/Нет |
7. | Проведено родоразрешение пациентки с поздней задержкой роста плода при спонтанном повторяющемся стойком неспровоцированном замедлении частоте сердечных сокращений плода (децелерации), при нулевом или реверсном конечно-диастолическом кровотоке в артерии пуповины, при показателе STV по данным кардиотокографии <3,5 мс в 320 - 336 недель и <4,5 мс в сроке беременности ≥ 340 недель | Да/Нет |
8. | Проведено родоразрешение пациентки с малым/маловесным для гестационного возраста плодом после 370 - 390 недель беременности при нормальных показателях ЦПО | Да/Нет |
Список литературы
Costa S.L., Proctor L., Dodd J.M., Toal M., Okun N., Johnson J.-A., et al. Screening for placental insufficiency in high-risk pregnancies: is earlier better? Placenta. 2008; 29(12):1034–40.
Laurini R., Laurin J., Marsál K. Placental histology and fetal blood flow in intrauterine growth retardation. Acta Obstet Gynecol Scand. 1994; 73(7):529–34.
Salafia C.M., Minior V.K., Pezzullo J.C., Popek E.J., Rosenkrantz T.S., Vintzileos A.M. Intrauterine growth restriction in infants of less than thirty-two weeks’ gestation: associated placental pathologic features. Am J Obstet Gynecol. 1995; 173(4):1049–57.
Abalos E., Duley L., Steyn D.W., Gialdini C. Antihypertensive drug therapy for mild to moderate hypertension during pregnancy. Cochrane database Syst Rev. 2018; 10:CD002252.
Lang J.M., Lieberman E., Cohen A. A comparison of risk factors for preterm labor and term small-for-gestational-age birth. Epidemiology. 1996; 7(4):369–76.
Kehl S., Dötsch J., Hecher K., Schlembach D., Schmitz D., Stepan H., et al. Intrauterine Growth Restriction. Guideline of the German Society of Gynecology and Obstetrics (S2k-Level, AWMF Registry No. 015/080, October 2016). Geburtshilfe Frauenheilkd. 2017; 77(11):1157–73.
Ananth C. V, Peltier M.R., Chavez M.R., Kirby R.S., Getahun D., Vintzileos A.M. Recurrence of ischemic placental disease. Obstet Gynecol. 2007; 110(1):128–33.
Kramer M.S., Platt R., Yang H., McNamara H., Usher R.H. Are all growth-restricted newborns created equal(ly)? Pediatrics. 1999; 103(3):599–602.
Leruez-Ville M., Ville Y. Fetal cytomegalovirus infection. Best Pract Res Clin Obstet Gynaecol. 2017; 38:97–107.
Royal College of Obstetricians and Gynaecologists. Green-Top Guideline 31: The Investigation and Manangement of the Small-for-Gestational-Age Fetus. RCOG Green-top Guidel No 31. 2014; (31):1–34.
Society for Maternal-Fetal Medicine (SMFM). Electronic address: pubs@smfm.org, Martins J.G., Biggio J.R., Abuhamad A. Society for Maternal-Fetal Medicine Consult Series #52: Diagnosis and management of fetal growth restriction: (Replaces Clinical Guideline Number 3, April 2012). Am J Obstet Gynecol. 2020; 223(4):B2–17.
Albu A.R., Anca A.F., Horhoianu V. V, Horhoianu I.A. Predictive factors for intrauterine growth restriction. J Med Life. 2014; 7(2):165–71.
Parker S.E., Werler M.M. Epidemiology of ischemic placental disease: a focus on preterm gestations. Semin Perinatol. 2014; 38(3):133–8.
Berlit S., Nickol J., Weiss C., Tuschy B., Temerinac D., Mayer J., et al. Zervixdilatation und Kürettage während eines primären Kaiserschnitts – eine retrospektive Analyse. Z Geburtshilfe Neonatol. 2013; 217(S 01).
Levine T.A., Grunau R.E., McAuliffe F.M., Pinnamaneni R., Foran A., Alderdice F.A. Early childhood neurodevelopment after intrauterine growth restriction: a systematic review. Pediatrics. 2015; 135(1):126–41.
Горбань Т.С., Дегтярева М.В., Бобак О.А. Особенности течения неонатального периода у недоношенных новорожденных детей с задержкой внутриутробного развития. Вопросы практической педиатрии. 2011; 6(6):8-13.
Moraitis A.A., Wood A.M., Fleming M., Smith G.C.S. Birth weight percentile and the risk of term perinatal death. Obstet Gynecol. 2014; 124(2 Pt 1):274–83.
Vasak B., Koenen S. V, Koster M.P.H., Hukkelhoven C.W.P.M., Franx A., Hanson M.A., et al. Human fetal growth is constrained below optimal for perinatal survival. Ultrasound Obstet Gynecol. 2015; 45(2):162–7.
McIntire D.D., Bloom S.L., Casey B.M., Leveno K.J. Birth weight in relation to morbidity and mortality among newborn infants. N Engl J Med. 1999; 340(16):1234–8.
Gardosi J., Madurasinghe V., Williams M., Malik A., Francis A. Maternal and fetal risk factors for stillbirth: population based study. BMJ. 2013; 346:f108.
Flood K., Unterscheider J., Daly S., Geary M.P., Kennelly M.M., McAuliffe F.M., et al. The role of brain sparing in the prediction of adverse outcomes in intrauterine growth restriction: results of the multicenter PORTO Study. Am J Obstet Gynecol. 2014; 211(3):288.e1-5.
Poon L.C.Y., Tan M.Y., Yerlikaya G., Syngelaki A., Nicolaides K.H. Birth weight in live births and stillbirths. Ultrasound Obstet Gynecol. 2016; 48(5):602–6.
Prior T., Paramasivam G., Bennett P., Kumar S. Are fetuses that fail to achieve their growth potential at increased risk of intrapartum compromise? Ultrasound Obstet Gynecol. 2015; 46(4):460–4.
Sherrell H., Dunn L., Clifton V., Kumar S. Systematic review of maternal Placental Growth Factor levels in late pregnancy as a predictor of adverse intrapartum and perinatal outcomes. Eur J Obstet Gynecol Reprod Biol. 2018; 225:26–34.
Gardener G., Weller M., Wallace E., East C., Oats J., Ellwood D., et al. PSANZ. Position Statement: Detection and Management of Fetal Growth Restriction in Singleton Pregnancies. In Perinat Soc Aust new Zealand/Stillbirth Cent Res Excell. 2018; .
Gestation Network Growth Charts [https://www.gestation.net/fetal_growth/download_grow.htm].
Crimmins S., Desai A., Block-Abraham D., Berg C., Gembruch U., Baschat A.A. A comparison of Doppler and biophysical findings between liveborn and stillborn growth-restricted fetuses. Am J Obstet Gynecol. 2014; 211(6):669.e1-10.
Savchev S., Figueras F., Sanz-Cortes M., Cruz-Lemini M., Triunfo S., Botet F., et al. Evaluation of an optimal gestational age cut-off for the definition of early- and late-onset fetal growth restriction. Fetal Diagn Ther. 2014; 36(2):99–105.
Mifsud W., Sebire N.J. Placental pathology in early-onset and late-onset fetal growth restriction. Fetal Diagn Ther. 2014; 36(2):117–28.
Figueras F., Gratacos E. Stage-based approach to the management of fetal growth restriction. Prenat Diagn. 2014; 34(7):655–9.
Gordijn S.J., Beune I.M., Thilaganathan B., Papageorghiou A., Baschat A.A., Baker P.N., et al. Consensus definition of fetal growth restriction: a Delphi procedure. Ultrasound Obstet Gynecol. 2016; 48(3):333–9.
Lees C.C., Stampalija T., Baschat A., da Silva Costa F., Ferrazzi E., Figueras F., et al. ISUOG Practice Guidelines: diagnosis and management of small-for-gestational-age fetus and fetal growth restriction. Ultrasound Obstet Gynecol. 2020; 56(2):298–312.
Salomon L.J., Alfirevic Z., Da Silva Costa F., Deter R.L., Figueras F., Ghi T., et al. ISUOG Practice Guidelines: ultrasound assessment of fetal biometry and growth. Ultrasound Obstet Gynecol. 2019; 53(6):715–23.
McCowan L.M., Figueras F., Anderson N.H. Evidence-based national guidelines for the management of suspected fetal growth restriction: comparison, consensus, and controversy. Am J Obstet Gynecol. 2018; 218(2S):S855–68.
Molina L.C.G., Odibo L., Zientara S., Običan S.G., Rodriguez A., Stout M., et al. Validation of Delphi procedure consensus criteria for defining fetal growth restriction. Ultrasound Obstet Gynecol. 2020; 56(1):61–6.
Allen V.M., Joseph K., Murphy K.E., Magee L.A., Ohlsson A. The effect of hypertensive disorders in pregnancy on small for gestational age and stillbirth: a population based study. BMC Pregnancy Childbirth. 2004; 4(1):17.
Kenny L.C., Black M.A., Poston L., Taylor R., Myers J.E., Baker P.N., et al. Early pregnancy prediction of preeclampsia in nulliparous women, combining clinical risk and biomarkers: the Screening for Pregnancy Endpoints (SCOPE) international cohort study. Hypertens (Dallas, Tex 1979). 2014; 64(3):644–52.
Bligh L.N., Flatley C.J., Kumar S. Reduced growth velocity at term is associated with adverse neonatal outcomes in non-small for gestational age infants. Eur J Obstet Gynecol Reprod Biol. 2019; 240:125–9.
Morales-Roselló J., Khalil A., Morlando M., Papageorghiou A., Bhide A., Thilaganathan B. Changes in fetal Doppler indices as a marker of failure to reach growth potential at term. Ultrasound Obstet Gynecol. 2014; 43(3):303–10.
Papageorghiou A.T., Ohuma E.O., Gravett M.G., Hirst J., da Silveira M.F., Lambert A., et al. International standards for symphysis-fundal height based on serial measurements from the Fetal Growth Longitudinal Study of the INTERGROWTH-21st Project: prospective cohort study in eight countries. BMJ. 2016; 355:i5662.
Griffin M., Seed P.T., Webster L., Myers J., MacKillop L., Simpson N., et al. Diagnostic accuracy of placental growth factor and ultrasound parameters to predict the small-for-gestational-age infant in women presenting with reduced symphysis-fundus height. Ultrasound Obstet Gynecol. 2015; 46(2):182–90.
AGDH: Pregnancy Care Guidelines: Fetal growth restriction and well-being. Aust Gov Dep Heal. 2019; .
Холин А.М., Гус А.И., Ходжаева З.С., Баев О.Р., Рюмина И.И., Виллар Х., et al. Подходы к стандартизации фетометрии в России: проект INTERGROWTH-21 и его внедрение. Акушерство и гинекология.
Unterscheider J., Geary M.P., Daly S., McAuliffe F.M., Kennelly M.M., Dornan J., et al. The customized fetal growth potential: a standard for Ireland. Eur J Obstet Gynecol Reprod Biol. 2013; 166(1):14–7.
Kingdom J, Ashwal E, Lausman A, Liauw J, Soliman N, Figueiro-Filho E, Nash C, Bujold E, Melamed N. Guideline No. 442: Fetal Growth Restriction: Screening, Diagnosis, and Management in Singleton Pregnancies. J Obstet Gynaecol Can. 2023 Oct;45(10):102154.doi: 10.1016/j.jogc.2023.05.022. PMID: 37730302.
Neilson J.P. Symphysis-fundal height measurement in pregnancy. Cochrane database Syst Rev. 2000; (2):CD000944.
Vayssière C., Sentilhes L., Ego A., Bernard C., Cambourieu D., Flamant C., et al. Fetal growth restriction and intra-uterine growth restriction: guidelines for clinical practice from the French College of Gynaecologists and Obstetricians. Eur J Obstet Gynecol Reprod Biol. 2015; 193:10–8.
Melamed N., Baschat A., Yinon Y., Athanasiadis A., Mecacci F., Figueras F., et al. FIGO (international Federation of Gynecology and obstetrics) initiative on fetal growth: best practice advice for screening, diagnosis, and management of fetal growth restriction. Int J Gynaecol Obstet. 2021; 152 Suppl:3–57.
Morris R.K., Bilagi A., Devani P., Kilby M.D. Association of serum PAPP-A levels in first trimester with small for gestational age and adverse pregnancy outcomes: systematic review and meta-analysis. Prenat Diagn. 2017; 37(3):253–65.
Gaccioli F., Aye I.L.M.H., Sovio U., Charnock-Jones D.S., Smith G.C.S. Screening for fetal growth restriction using fetal biometry combined with maternal biomarkers. Am J Obstet Gynecol. 2018; 218(2S):S725–37.
Zhong Y., Zhu F., Ding Y. Serum screening in first trimester to predict pre-eclampsia, small for gestational age and preterm delivery: systematic review and meta-analysis. BMC Pregnancy Childbirth. 2015; 15:191.
Proctor L.K., Toal M., Keating S., Chitayat D., Okun N., Windrim R.C., et al. Placental size and the prediction of severe early-onset intrauterine growth restriction in women with low pregnancy-associated plasma protein-A. Ultrasound Obstet Gynecol. 2009; 34(3):274–82.
Gaccioli F., Sovio U., Cook E., Hund M., Charnock-Jones D.S., Smith G.C.S. Screening for fetal growth restriction using ultrasound and the sFLT1/PlGF ratio in nulliparous women: a prospective cohort study. Lancet Child Adolesc Heal. 2018; 2(8):569–81.
Kwiatkowski S., Bednarek-Jędrzejek M., Ksel J., Tousty P., Kwiatkowska E., Cymbaluk A., et al. sFlt-1/PlGF and Doppler ultrasound parameters in SGA pregnancies with confirmed neonatal birth weight below 10th percentile. Pregnancy Hypertens. 2018; 14:79–85.
Herraiz I., Quezada M.S., Rodriguez-Calvo J., Gómez-Montes E., Villalaín C., Galindo A. Longitudinal change of sFlt-1/PlGF ratio in singleton pregnancy with early-onset fetal growth restriction. Ultrasound Obstet Gynecol. 2018; 52(5):631–8.
Fabjan-Vodusek V., Kumer K., Osredkar J., Verdenik I., Gersak K., Premru-Srsen T. Correlation between uterine artery Doppler and the sFlt-1/PlGF ratio in different phenotypes of placental dysfunction. Hypertens pregnancy. 2019; 38(1):32–40.
Zeisler H., Llurba E., Chantraine F., Vatish M., Staff A.C., Sennström M., et al. Predictive Value of the sFlt-1:PlGF Ratio in Women with Suspected Preeclampsia. N Engl J Med. 2016; 374(1):13–22.
American College of Obstetricians and Gynecologists’ Committee on Practice Bulletins—Obstetrics and the Society forMaternal-FetalMedicin. ACOG Practice Bulletin No. 204: Fetal Growth Restriction. Obstet Gynecol. 2019; 133(2):e97–109.
Gabbe S.G. Gabbe’s Obstetrics: Normal and Problem Pregnancies. Intrauterine growth restriction. 8th Editio. Elsevier; 2012. 706–741 p.
Whitworth M., Bricker L., Mullan C. Ultrasound for fetal assessment in early pregnancy. Cochrane database Syst Rev. 2015; (7):CD007058.
Papageorghiou A.T., Kennedy S.H., Salomon L.J., Ohuma E.O., Cheikh Ismail L., Barros F.C., et al. International standards for early fetal size and pregnancy dating based on ultrasound measurement of crown-rump length in the first trimester of pregnancy. Ultrasound Obstet Gynecol. 2014; 44(6):641–8.
Robinson H.P., Fleming J.E. A critical evaluation of sonar “crown-rump length” measurements. Br J Obstet Gynaecol. 1975; 82(9):702–10.
Papageorghiou A.T., Kemp B., Stones W., Ohuma E.O., Kennedy S.H., Purwar M., et al. Ultrasound-based gestational-age estimation in late pregnancy. Ultrasound Obstet Gynecol. 2016; 48(6):719–26.
Whitworth M., Bricker L., Mullan C. Ultrasound for fetal assessment in early pregnancy. Cochrane database Syst Rev. 2015; (7):CD007058.
Committee on Obstetric Practice, the American Institute of Ultrasound in Medicine and the S. for M.-F.M. Committee Opinion No 700: Methods for Estimating the Due Date. Obstet Gynecol. 2017; 129(5):e150–4.
Chauhan S.P., Gupta L.M., Hendrix N.W., Berghella V., American College of Obstetricians and Gynecologists. Intrauterine growth restriction: comparison of American College of Obstetricians and Gynecologists practice bulletin with other national guidelines. Am J Obstet Gynecol. 2009; 200(4):409.e1-6.
Nabhan A.F., Abdelmoula Y.A. Amniotic fluid index versus single deepest vertical pocket: a meta-analysis of randomized controlled trials. Int J Gynaecol Obstet. 2009; 104(3):184–8.
Niknafs P., Sibbald J. Accuracy of single ultrasound parameters in detection of fetal growth restriction. Am J Perinatol. 2001; 18(6):325–34.
Drenthen W., Pieper P.G., Roos-Hesselink J.W., van Lottum W.A., Voors A.A., Mulder B.J.M., et al. Outcome of pregnancy in women with congenital heart disease: a literature review. J Am Coll Cardiol. 2007; 49(24):2303–11.
Yasuda M., Takakuwa K., Tokunaga A., Tanaka K. Prospective studies of the association between anticardiolipin antibody and outcome of pregnancy. Obstet Gynecol. 1995; 86(4 Pt 1):555–9.
Nabhan A.F., Abdelmoula Y.A. Amniotic fluid index versus single deepest vertical pocket as a screening test for preventing adverse pregnancy outcome. Cochrane database Syst Rev. 2008; (3):CD006593.
Kehl S., Schelkle A., Thomas A., Puhl A., Meqdad K., Tuschy B., et al. Single deepest vertical pocket or amniotic fluid index as evaluation test for predicting adverse pregnancy outcome (SAFE trial): a multicenter, open-label, randomized controlled trial. Ultrasound Obstet Gynecol. 2016; 47(6):674–9.
Caradeux J., Martinez-Portilla R.J., Peguero A., Sotiriadis A., Figueras F. Diagnostic performance of third-trimester ultrasound for the prediction of late-onset fetal growth restriction: a systematic review and meta-analysis. Am J Obstet Gynecol. 2019; 220(5):449-459.e19.
Groom K.M., Poppe K.K., North R.A., McCowan L.M.E. Small-for-gestational-age infants classified by customized or population birthweight centiles: impact of gestational age at delivery. Am J Obstet Gynecol. 2007; 197(3):239.e1-5.
Figueras F., Figueras J., Meler E., Eixarch E., Coll O., Gratacos E., et al. Customised birthweight standards accurately predict perinatal morbidity. Arch Dis Child Fetal Neonatal Ed. 2007; 92(4):F277-80.
McCowan L.M., Harding J.E., Roberts A.B., Barker S.E., Ford C., Stewart A.W. A pilot randomized controlled trial of two regimens of fetal surveillance for small-for-gestational-age fetuses with normal results of umbilical artery doppler velocimetry. Am J Obstet Gynecol. 2000; 182(1 Pt 1):81–6.
Kiserud T., Benachi A., Hecher K., Perez R.G., Carvalho J., Piaggio G., et al. The World Health Organization fetal growth charts: concept, findings, interpretation, and application. Am J Obstet Gynecol. 2018; 218(2S):S619–29.
Papageorghiou A.T., Kennedy S.H., Salomon L.J., Altman D.G., Ohuma E.O., Stones W., et al. The INTERGROWTH-21st fetal growth standards: toward the global integration of pregnancy and pediatric care. Am J Obstet Gynecol. 2018; 218(2S):S630–40.
Papageorghiou A.T., Ohuma E.O., Altman D.G., Todros T., Cheikh Ismail L., Lambert A., et al. International standards for fetal growth based on serial ultrasound measurements: the Fetal Growth Longitudinal Study of the INTERGROWTH-21st Project. Lancet (London, England). 2014; 384(9946):869–79.
The International Fetal and Newborn Growth consortium for the 21st Century [https://intergrowth21.tghn.org/].
Ярыгина Т.А., Батаева. Р.С. Задержка (замедление) роста плода: современные принципы диагностики, классификации и динамического наблюдения. Ультразвуковая функциональная диагностика.
Cruz-Martinez R., Savchev S., Cruz-Lemini M., Mendez A., Gratacos E., Figueras F. Clinical utility of third-trimester uterine artery Doppler in the prediction of brain hemodynamic deterioration and adverse perinatal outcome in small-for-gestational-age fetuses. Ultrasound Obstet Gynecol. 2015; 45(3):273–8.
Cruz-Martínez R., Figueras F., Hernandez-Andrade E., Oros D., Gratacos E. Fetal brain Doppler to predict cesarean delivery for nonreassuring fetal status in term small-for-gestational-age fetuses. Obstet Gynecol. 2011; 117(3):618–26.
Severi F.M., Bocchi C., Visentin A., Falco P., Cobellis L., Florio P., et al. Uterine and fetal cerebral Doppler predict the outcome of third-trimester small-for-gestational age fetuses with normal umbilical artery Doppler. Ultrasound Obstet Gynecol. 2002; 19(3):225–8.
Hershkovitz R., Kingdom J.C., Geary M., Rodeck C.H. Fetal cerebral blood flow redistribution in late gestation: identification of compromise in small fetuses with normal umbilical artery Doppler. Ultrasound Obstet Gynecol. 2000; 15(3):209–12.
Oros D., Figueras F., Cruz-Martinez R., Padilla N., Meler E., Hernandez-Andrade E., et al. Middle versus anterior cerebral artery Doppler for the prediction of perinatal outcome and neonatal neurobehavior in term small-for-gestational-age fetuses with normal umbilical artery Doppler. Ultrasound Obstet Gynecol. 2010; 35(4):456–61.
Gómez O., Figueras F., Fernández S., Bennasar M., Martínez J.M., Puerto B., et al. Reference ranges for uterine artery mean pulsatility index at 11-41 weeks of gestation. Ultrasound Obstet Gynecol. 2008; 32(2):128–32.
DeVore G.R. The importance of the cerebroplacental ratio in the evaluation of fetal well-being in SGA and AGA fetuses. Am J Obstet Gynecol. 2015; 213(1):5–15.
Dunn L., Sherrell H., Kumar S. Review: Systematic review of the utility of the fetal cerebroplacental ratio measured at term for the prediction of adverse perinatal outcome. Placenta. 2017; 54:68–75.
Nassr A.A., Abdelmagied A.M., Shazly S.A.M. Fetal cerebro-placental ratio and adverse perinatal outcome: systematic review and meta-analysis of the association and diagnostic performance. J Perinat Med. 2016; 44(2):249–56.
Vollgraff Heidweiller-Schreurs C.A., De Boer M.A., Heymans M.W., Schoonmade L.J., Bossuyt P.M.M., Mol B.W.J., et al. Prognostic accuracy of cerebroplacental ratio and middle cerebral artery Doppler for adverse perinatal outcome: systematic review and meta-analysis. Ultrasound Obstet Gynecol. 2018; 51(3):313–22.
Figueras F., Fernandez S., Eixarch E., Gomez O., Martinez J.M., Puerto B., et al. Middle cerebral artery pulsatility index: reliability at different sampling sites. Ultrasound Obstet Gynecol. 2006; 28(6):809–13.
Ciobanu A., Wright A., Syngelaki A., Wright D., Akolekar R., Nicolaides K.H. Fetal Medicine Foundation reference ranges for umbilical artery and middle cerebral artery pulsatility index and cerebroplacental ratio. Ultrasound Obstet Gynecol. 2019; 53(4):465–72.
Turan S., Turan O.M., Berg C., Moyano D., Bhide A., Bower S., et al. Computerized fetal heart rate analysis, Doppler ultrasound and biophysical profile score in the prediction of acid-base status of growth-restricted fetuses. Ultrasound Obstet Gynecol. 2007; 30(5):750–6.
Lalor J.G., Fawole B., Alfirevic Z., Devane D. Biophysical profile for fetal assessment in high risk pregnancies. Cochrane database Syst Rev. 2008; (1):CD000038.
Boers K.E., Vijgen S.M.C., Bijlenga D., van der Post J.A.M., Bekedam D.J., Kwee A., et al. Induction versus expectant monitoring for intrauterine growth restriction at term: randomised equivalence trial (DIGITAT). BMJ. 2010; 341:c7087.
Morales-Roselló J., Khalil A. Fetal cerebral redistribution: a marker of compromise regardless of fetal size. Ultrasound Obstet Gynecol. 2015; 46(4):385–8.
Boers K.E., van Wyk L., van der Post J.A.M., Kwee A., van Pampus M.G., Spaanderdam M.E.A., et al. Neonatal morbidity after induction vs expectant monitoring in intrauterine growth restriction at term: a subanalysis of the DIGITAT RCT. Am J Obstet Gynecol. 2012; 206(4):344.e1-7.
Ganzevoort W., Mensing Van Charante N., Thilaganathan B., Prefumo F., Arabin B., Bilardo C.M., et al. How to monitor pregnancies complicated by fetal growth restriction and delivery before 32 weeks: post-hoc analysis of TRUFFLE study. Ultrasound Obstet Gynecol. 2017; 49(6):769–77.
Frusca T., Todros T., Lees C., Bilardo C.M., TRUFFLE Investigators. Outcome in early-onset fetal growth restriction is best combining computerized fetal heart rate analysis with ductus venosus Doppler: insights from the Trial of Umbilical and Fetal Flow in Europe. Am J Obstet Gynecol. 2018; 218(2S):S783–9.
Caradeux J., Martinez-Portilla R.J., Basuki T.R., Kiserud T., Figueras F. Risk of fetal death in growth-restricted fetuses with umbilical and/or ductus venosus absent or reversed end-diastolic velocities before 34 weeks of gestation: a systematic review and meta-analysis. Am J Obstet Gynecol. 2018; 218(2S):S774-S782.e21.
Bujold E., Roberge S., Lacasse Y., Bureau M., Audibert F., Marcoux S., et al. Prevention of preeclampsia and intrauterine growth restriction with aspirin started in early pregnancy: a meta-analysis. Obstet Gynecol. 2010; 116(2 Pt 1):402–14.
Grivell R.M., Wong L., Bhatia V. Regimens of fetal surveillance for impaired fetal growth. Cochrane database Syst Rev. 2012; (6):CD007113.
Hendrix N., Berghella V. Non-placental causes of intrauterine growth restriction. Semin Perinatol. 2008; 32(3):161–5.
Eydoux P., Choiset A., Le Porrier N., Thépot F., Szpiro-Tapia S., Alliet J., et al. Chromosomal prenatal diagnosis: study of 936 cases of intrauterine abnormalities after ultrasound assessment. Prenat Diagn. 1989; 9(4):255–69.
Khoury M.J., Erickson J.D., Cordero J.F., McCarthy B.J. Congenital malformations and intrauterine growth retardation: a population study. Pediatrics. 1988; 82(1):83–90.
Khalil A.A., Morales-Rosello J., Morlando M., Hannan H., Bhide A., Papageorghiou A., et al. Is fetal cerebroplacental ratio an independent predictor of intrapartum fetal compromise and neonatal unit admission? Am J Obstet Gynecol. 2015; 213(1):54.e1-54.e10.
Breech presentation. South Aust Perinat Pract Guidel. 2014; .
Jozwiak M., Bloemenkamp K.W.M., Kelly A.J., Mol B.W.J., Irion O., Boulvain M. Mechanical methods for induction of labour. Cochrane database Syst Rev. 2012; (3):CD001233.
Pryde P.G., Mittendorf R. Contemporary usage of obstetric magnesium sulfate: indication, contraindication, and relevance of dose. Obstet Gynecol. 2009; 114(3):669–73.
ACOG Practice bulletin no. 134: fetal growth restriction. Obstet Gynecol. 2013; 121(5):1122–33.
Costantine M.M., Weiner S.J., Eunice Kennedy Shriver National Institute of Child Health and Human Development Maternal-Fetal Medicine Units Network. Effects of antenatal exposure to magnesium sulfate on neuroprotection and mortality in preterm infants: a meta-analysis. Obstet Gynecol. 2009; 114(2 Pt 1):354–64.
Committee Opinion No. 455: Magnesium sulfate before anticipated preterm birth for neuroprotection. Obstet Gynecol. 2010; 115(3):669–71.
Meher S., Duley L. Progesterone for preventing pre-eclampsia and its complications. Cochrane database Syst Rev. 2006; (4):CD006175.
von Dadelszen P., Dwinnell S., Magee L.A., Carleton B.C., Gruslin A., Lee B., et al. Sildenafil citrate therapy for severe early-onset intrauterine growth restriction. BJOG. 2011; 118(5):624–8.
Lausman A., Kingdom J., MATERNAL FETAL MEDICINE COMMITTEE. Intrauterine growth restriction: screening, diagnosis, and management. J Obstet Gynaecol Can. 2013; 35(8):741–8.
Dodd J.M., McLeod A., Windrim R.C., Kingdom J. Antithrombotic therapy for improving maternal or infant health outcomes in women considered at risk of placental dysfunction. Cochrane database Syst Rev. 2013; (7):CD006780.
Rodger M.A., Carrier M., Le Gal G., Martinelli I., Perna A., Rey E., et al. Meta-analysis of low-molecular-weight heparin to prevent recurrent placenta-mediated pregnancy complications. Blood. 2014; 123(6):822–8.
Duffett L., Rodger M. LMWH to prevent placenta-mediated pregnancy complications: an update. Br J Haematol. 2015; 168(5):619–38.
Gülmezoglu A.M., Hofmeyr G.J. Bed rest in hospital for suspected impaired fetal growth. Cochrane database Syst Rev. 2000; (2):CD000034.
Hofmeyr G.J., Lawrie T.A., Atallah Á.N., Torloni M.R. Calcium supplementation during pregnancy for preventing hypertensive disorders and related problems. Cochrane database Syst Rev. 2018; 10:CD001059.
Say L., Gülmezoglu A.M., Hofmeyr G.J. Maternal nutrient supplementation for suspected impaired fetal growth. Cochrane database Syst Rev. 2003; (1):CD000148.
Peña-Rosas J.P., De-Regil L.M., Garcia-Casal M.N., Dowswell T. Daily oral iron supplementation during pregnancy. Cochrane database Syst Rev. 2015; (7):CD004736.
Ota E., Mori R., Middleton P., Tobe-Gai R., Mahomed K., Miyazaki C., et al. Zinc supplementation for improving pregnancy and infant outcome. Cochrane database Syst Rev. 2015; (2):CD000230.
Makrides M., Crosby D.D., Bain E., Crowther C.A. Magnesium supplementation in pregnancy. Cochrane database Syst Rev. 2014; (4):CD000937.
Ota E., Hori H., Mori R., Tobe-Gai R., Farrar D. Antenatal dietary education and supplementation to increase energy and protein intake. Cochrane database Syst Rev. 2015; (6):CD000032.
Say L., Gülmezoglu A.M., Hofmeyr G.J. Maternal oxygen administration for suspected impaired fetal growth. Cochrane database Syst Rev. 2003; (1):CD000137.
Groom K.M., David A.L. The role of aspirin, heparin, and other interventions in the prevention and treatment of fetal growth restriction. Am J Obstet Gynecol. 2018; 218(2S):S829–40.
Powers W.F., Kiely J.L. The risks confronting twins: a national perspective. Am J Obstet Gynecol. 1994; 170(2):456–61.
Roberge S., Nicolaides K.H., Demers S., Villa P., Bujold E. Prevention of perinatal death and adverse perinatal outcome using low-dose aspirin: a meta-analysis. Ultrasound Obstet Gynecol. 2013; 41(5):491–9.
Henderson J.T., Whitlock E.P., O’Connor E., Senger C.A., Thompson J.H., Rowland M.G. Low-dose aspirin for prevention of morbidity and mortality from preeclampsia: a systematic evidence review for the U.S. Preventive Services Task Force. Ann Intern Med. 2014; 160(10):695–703.
Baschat A.A. Planning management and delivery of the growth-restricted fetus. Best Pract Res Clin Obstet Gynaecol. 2018; 49:53–65.
Cody F., Unterscheider J., Daly S., Geary M.P., Kennelly M.M., McAuliffe F.M., et al. The effect of maternal obesity on sonographic fetal weight estimation and perinatal outcome in pregnancies complicated by fetal growth restriction. J Clin Ultrasound. 2016; 44(1):34–9.
Blatt K., Moore E., Chen A., Van Hook J., DeFranco E.A. Association of Reported Trimester-Specific Smoking Cessation With Fetal Growth Restriction. Obstet Gynecol. 2015; 125(6):1452–9.
Odibo A.O., Nelson D., Stamilio D.M., Sehdev H.M., Macones G.A. Advanced maternal age is an independent risk factor for intrauterine growth restriction. Am J Perinatol. 2006; 23(5):325–8.
Shah P.S., Knowledge Synthesis Group on Determinants of LBW/PT births. Parity and low birth weight and preterm birth: a systematic review and meta-analyses. Acta Obstet Gynecol Scand. 2010; 89(7):862–75.
Gardosi J., Francis A. Adverse pregnancy outcome and association with small for gestational age birthweight by customized and population-based percentiles. Am J Obstet Gynecol. 2009; 201(1):28.e1-8.
McCowan L.M.E., Roberts C.T., Dekker G.A., Taylor R.S., Chan E.H.Y., Kenny L.C., et al. Risk factors for small-for-gestational-age infants by customised birthweight centiles: data from an international prospective cohort study. BJOG. 2010; 117(13):1599–607.
Gouin K., Murphy K., Shah P.S., Knowledge Synthesis group on Determinants of Low Birth Weight and Preterm Births. Effects of cocaine use during pregnancy on low birthweight and preterm birth: systematic review and metaanalyses. Am J Obstet Gynecol. 2011; 204(4):340.e1-12.
Jackson R.A., Gibson K.A., Wu Y.W., Croughan M.S. Perinatal outcomes in singletons following in vitro fertilization: a meta-analysis. Obstet Gynecol. 2004; 103(3):551–63.
Conde-Agudelo A., Rosas-Bermúdez A., Kafury-Goeta A.C. Birth spacing and risk of adverse perinatal outcomes: a meta-analysis. JAMA. 2006; 295(15):1809–23.
Shah P.S., Shah V., Knowledge Synthesis Group On Determinants Of Preterm/lBW Births. Influence of the maternal birth status on offspring: a systematic review and meta-analysis. Acta Obstet Gynecol Scand. 2009; 88(12):1307–18.
Howarth C., Gazis A., James D. Associations of Type 1 diabetes mellitus, maternal vascular disease and complications of pregnancy. Diabet Med. 2007; 24(11):1229–34.
Fink J.C., Schwartz S.M., Benedetti T.J., Stehman-Breen C.O. Increased risk of adverse maternal and infant outcomes among women with renal disease. Paediatr Perinat Epidemiol. 1998; 12(3):277–87.
Shah P.S., Knowledge Synthesis Group on determinants of preterm/low birthweight births. Paternal factors and low birthweight, preterm, and small for gestational age births: a systematic review. Am J Obstet Gynecol. 2010; 202(2):103–23.
Weiss J.L., Malone F.D., Vidaver J., Ball R.H., Nyberg D.A., Comstock C.H., et al. Threatened abortion: A risk factor for poor pregnancy outcome, a population-based screening study. Am J Obstet Gynecol. 2004; 190(3):745–50.
Dane B., Dane C., Kiray M., Cetin A., Koldas M., Erginbas M. Correlation between first-trimester maternal serum markers, second-trimester uterine artery doppler indices and pregnancy outcome. Gynecol Obstet Invest. 2010; 70(2):126–31.
Jaquet D., Swaminathan S., Alexander G.R., Czernichow P., Collin D., Salihu H.M., et al. Significant paternal contribution to the risk of small for gestational age. BJOG. 2005; 112(2):153–9.
CARE Study Group. Maternal caffeine intake during pregnancy and risk of fetal growth restriction: a large prospective observational study. BMJ. 2008; 337:a2332.
Stirnemann J., Villar J., Salomon L.J., Ohuma E., Ruyan P., Altman D.G., et al. International estimated fetal weight standards of the INTERGROWTH-21st Project. Ultrasound Obstet Gynecol. 2017; 49(4):478–86.
Kiserud T., Piaggio G., Carroli G., Widmer M., Carvalho J., Neerup Jensen L., et al. The World Health Organization Fetal Growth Charts: A Multinational Longitudinal Study of Ultrasound Biometric Measurements and Estimated Fetal Weight. PLoS Med. 2017; 14(1):e1002220.
Приложение А1. Состав рабочей группы по разработке и пересмотру клинических рекомендаций
Ходжаева Зульфия Сагдуллаевна – д.м.н., профессор, заместитель директора по научной работе института акушерства, профессор кафедры акушерства и гинекологии департамента профессионального образования ФГБУ «Национальный медицинский исследовательский центр акушерства, гинекологии и перинатологии имени академика В.И. Кулакова» Минздрава России (г. Москва). Конфликт интересов отсутствует.
Долгушина Наталия Витальевна – д.м.н., профессор, заместитель директора – руководитель департамента организации научной деятельности ФГБУ «Национальный медицинский исследовательский центр акушерства, гинекологии и перинатологии имени академика В.И. Кулакова» Минздрава России (г. Москва). Конфликт интересов отсутствует.
Кан Наталья Енкыновна – д.м.н., профессор, заместитель Директора по научной работе, Директор института акушерства, профессор кафедры акушерства и гинекологии ФГБУ «НМИЦ АГП им. В.И. Кулакова» Минздрава России (г. Москва).
Климов Владимир Анатольевич – к.м.н., Руководитель службы, начальник отдела ООМП, служба организации медицинской помощи и информационного сервиса ФГБУ «НМИЦ АГП им. В.И. Кулакова» Минздрава России (г. Москва), главный внештатный специалист Минздрава России. Конфликт интересов отсутствует.
Гус Александр Йосифович – д.м.н., профессор, заведующий отделением ультразвуковой и функциональной диагностики ФГБУ «НМИЦ АГП им. В.И. Кулакова» Минздрава России (г. Москва). Конфликт интересов отсутствует.
Муминова Камилла Тимуровна – к.м.н., научный сотрудник 1 акушерского отделения патологии беременности ФГБУ «Национальный медицинский исследовательский центр акушерства, гинекологии и перинатологии имени академика В.И. Кулакова» Минздрава России (г. Москва). Конфликт интересов отсутствует.
Протопопова Наталья Владимировна – заведующая кафедрой акушерства и гинекологии ИШМФПО - филиал ФГБЩУ РМАНП, главный внештатный специалист Минздрава России по акушерству и гинекологии в Иркутской области, д.м.н., профессор, заслуженный врач РФ. Конфликт интересов отсутствует.
Адамян Лейла Владимировна – академик РАН, д.м.н., профессор, заместитель директора ФГБУ «Национальный медицинский исследовательский центр акушерства, гинекологии и перинатологии имени академика В.И. Кулакова» Минздрава России, главный внештатный специалист Минздрава России по акушерству и гинекологии (г. Москва). Конфликт интересов отсутствует.
Артымук Наталья Владимировна – д.м.н., профессор, заведующая кафедрой акушерства и гинекологии имени профессора Г.А. Ушаковой ФГБОУ ВО «Кемеровский государственный медицинский университет» Минздрава России, главный внештатный специалист Минздрава России по акушерству и гинекологии в СФО (г. Кемерово). Конфликт интересов отсутствует.
Баранов Игорь Иванович – д.м.н., профессор, заведующий отделом научно-образовательных программ департамента организации научной деятельности ФГБУ «Национальный медицинский исследовательский центр акушерства, гинекологии и перинатологии имени академика В.И. Кулакова» Минздрава России. Конфликт интересов отсутствует.
Павлович Станислав Владиславович – к.м.н.. доцент, ученый секретарь ФГБУ «НМИЦ АГП им. В.И. Кулакова» Минздрава России, профессор кафедры акушерства, гинекологии, перинатологии и репродуктологии ИПО «ПМГМУ им. И.М. Сеченова» (г. Москва). Конфликт интересов отсутствует.
Башмакова Надежда Васильевна – д.м.н., профессор, главный научный сотрудник ФГБУ «Уральский НИИ ОММ», главный внештатный специалист по акушерству и гинекологии Минздрава России в УФО (г. Екатеринбург). Конфликт интересов отсутствует.
Беженарь Виталий Федорович – д.м.н., профессор, заведующий кафедроами акушерства, гинекологии и неонатологии/репродуктологии, руководитель клиники акушерства и гинекологии ФГБОУ ВО «Первый Санкт-Петербургский государственный медицинский университет им. акад. И.П. Павлова» Минздрава России, главный внештатный специалист по акушерству и гинекологии Комитета по здравоохранению Правительства Санкт-Петербурга (г. Санкт-Петербург). Конфликт интересов отсутствует.
Белокриницкая Татьяна Евгеньевна – д.м.н., профессор, заведующая кафедрой акушерства и гинекологии ФПК и ППС ФГБОУ ВО «Читинская государственная медицинская академия» Минздрава России, заслуженный врач Российской Федерации, главный внештатный специалист по акушерству и гинекологии Минздрава России в ДФО (г. Чита). Конфликт интересов отсутствует.
Горина Ксения Алексеевна – к.м.н., младший научный сотрудник 1 акушерского отделения патологии беременности ФГБУ «Национальный медицинский исследовательский центр акушерства, гинекологии и перинатологии имени академика В.И. Кулакова» Минздрава России (г. Москва). Конфликт интересов отсутствует.
Гагаев Челеби Гадаевич – д.м.н., профессор кафедры акушерства и гинекологии с курсом перинатологии Медицинского института ФГАОУ ВО «Российский университет дружбы народов» Министерства науки и высшего образования Российской Федерации. Конфликт интересов отсутствует.
Мартиросян Сергей Валериевич – к.м.н., главный врач МБУ «Екатеринбургский клинический перинатальный центр», доцент кафедры акушерства и гинекологии лечебно-профилактического факультета Уральского государственного медицинского университета (г. Екатеринбург. Конфликт интересов отсутствует.
Малышкина Анна Ивановна – д.м.н., профессор, директор ФГБУ «Ивановский НИИ материнства и детства им. В. Н. Городкова». заведующая кафедрой акушерства и гинекологии, медицинской генетики лечебного факультета ФГБОУ ВО «Ивановская государственная медицинская академия» Минздрава России, главный внештатный специалист Минздрава России по акушерству и гинекологии в Центральном федеральном округе (г. Иваново). Конфликт интересов отсутствует.
Михайлов Антон Валерьевич – д.м.н., профессор, главный внештатный специалист СЗФО (г. Санкт-Петербург) по акушерству и гинекологии. Конфликт интересов отсутствует.
Николаева Анастасия Владимировна – к.м.н., главный врач ФГБУ «Национальный медицинский исследовательский центр акушерства, гинекологии и перинатологии имени академика В.И. Кулакова» Минздрава России (г. Москва).
Оленев Антон Сергеевич – к.м.н., главный внештатный специалист по акушерству и гинекологии Департамента здравоохранения г. Москвы, заведующий филиалом «Перинатальный центр» ГБУЗ «Городская клиническая больница № 24 ДЗМ», доцент кафедры акушерства и гинекологии с курсом перинатологии медицинского института РУДН. Конфликт интересов отсутствует.
Петрухин Василий Алексеевич – д.м.н., профессор, заслуженный врач РФ, директор ГБУЗ МО МОНИИАГ (г. Москва). Конфликт интересов отсутствует.
Радзинский Виктор Евсеевич – д.м.н., профессор, член-корреспондент РАН, заведующий кафедрой акушерства и гинекологии с курсом перинатологии Российского университета дружбы народов (г. Москва). Конфликт интересов отсутствует.
Серов Владимир Николаевич – академик РАН, д.м.н., профессор, заслуженный деятель науки РФ, президент Российского общества акушеров-гинекологов, главный научный сотрудник ФГБУ «Национальный медицинский исследовательский центр акушерства, гинекологии и перинатологии имени академика В.И. Кулакова» Минздрава России (г. Москва). Конфликт интересов отсутствует.
Тютюнник Виктор Леонидович – д.м.н., профессор, ведущий научный сотрудник центра научных и клинических исследований ФГБУ «НМИЦ АГП им. В.И. Кулакова» Минздрава России (г. Москва). Конфликт интересов отсутствует.
Фаткуллин Ильдар Фаридович – д.м.н., профессор, заведующий кафедрой акушерства и гинекологии им. проф. В.С. Груздева Казанского ГМУ, главный внештатный специалист Минздрава России по акушерству и гинекологии в ПФО (г. Казань). Конфликт интересов отсутствует.
Хачатрян Зарине Варужановна – к.м.н., врач Перинатального Центра АО «Европейский Медицинский Центр» ФГБУ «НМИЦ АГП им. В.И. Кулакова» Минздрава России (г. Москва). Конфликт интересов отсутствует.
Холин Алексей Михайлович – начальник отдела телемедицины, врач ультразвуковой диагностики ФГБУ «НМИЦ АГП им. В.И. Кулакова» Минздрава России (г. Москва). Конфликт интересов отсутствует.
Шмаков Роман Георгиевич – доктор медицинских наук, профессор РАН, директор Московского областного НИИ акушерства и гинекологии им. академика В.И. Краснопольского, заведующий кафедрой акушерства и гинекологии ГБУЗ МО МОНИКИ им М.Ф. Владимирского. (г. Москва). Конфликт интересов отсутствует.
Ярыгина Тамара Александровна – к.м.н., руководитель отделения ультразвуковой диагностики Московского областного НИИ акушерства и гинекологии им. академика В.И. Краснопольского, научный сотрудник Перинатального кардиологического центра, ФГБУ «Национальный медицинский исследовательский центр сердечно-сосудистой хирургии им. А.Н. Бакулева» Минздрава России (г. Москва). Конфликт интересов отсутствует.
Приложение А2. Методология разработки клинических рекомендаций
Целевая аудитория данных клинических рекомендаций:
Врачи акушеры-гинекологи
Акушерки
Таблица 1. Шкала оценки уровней достоверности доказательств (УДД) для методов диагностики (диагностических вмешательств)
УДД | Расшифровка |
|---|---|
1 | Систематические обзоры исследований с контролем референсным методом или систематический обзор рандомизированных клинических исследований с применением мета-анализа |
2 | Отдельные исследования с контролем референсным методом или отдельные рандомизированные клинические исследования и систематические обзоры исследований любого дизайна, за исключением рандомизированных клинических исследований, с применением мета-анализа |
3 | Исследования без последовательного контроля референсным методом или исследования с референсным методом, не являющимся независимым от исследуемого метода или нерандомизированные сравнительные исследования, в том числе когортные исследования |
4 | Несравнительные исследования, описание клинического случая |
5 | Имеется лишь обоснование механизма действия или мнение экспертов |
Таблица 2. Шкала оценки уровней достоверности доказательств (УДД) для методов профилактики, лечения и реабилитации (профилактических, лечебных, реабилитационных вмешательств)
УДД | Расшифровка |
|---|---|
1 | Систематический обзор РКИ с применением мета-анализа |
2 | Отдельные РКИ и систематические обзоры исследований любого дизайна, за исключением РКИ, с применением мета-анализа |
3 | Нерандомизированные сравнительные исследования, в т.ч. когортные исследования |
4 | Несравнительные исследования, описание клинического случая или серии случаев, исследования «случай-контроль» |
5 | Имеется лишь обоснование механизма действия вмешательства (доклинические исследования) или мнение экспертов |
Таблица 3. Шкала оценки уровней убедительности рекомендаций (УУР) для методов профилактики, диагностики, лечения и реабилитации (профилактических, диагностических, лечебных, реабилитационных вмешательств)
УУР | Расшифровка |
|---|---|
A | Сильная рекомендация (все рассматриваемые критерии эффективности (исходы) являются важными, все исследования имеют высокое или удовлетворительное методологическое качество, их выводы по интересующим исходам являются согласованными) |
B | Условная рекомендация (не все рассматриваемые критерии эффективности (исходы) являются важными, не все исследования имеют высокое или удовлетворительное методологическое качество и/или их выводы по интересующим исходам не являются согласованными) |
C | Слабая рекомендация (отсутствие доказательств надлежащего качества (все рассматриваемые критерии эффективности (исходы) являются неважными, все исследования имеют низкое методологическое качество и их выводы по интересующим исходам не являются согласованными) |
Приложение А3. Справочные материалы, включая соответствие показаний к применению и противопоказаний, способов применения и доз лекарственных препаратов, инструкции по применению лекарственного препарата
Приложение А3.1. Основные характеристики ранней и поздней задержки роста плода [31, 32]
Характеристика | Раннее начало ЗРП | Позднее начало ЗРП |
|---|---|---|
Гестационный возраст на момент манифестации | <32 недель | ≥ 32 недель |
Распространенность | 0,5-1.0% | 5.0-10,0% |
Доля среди всех случаев ЗРП | 30% | 70% |
Основная клиническая проблема | Менеджмент | Диагностика |
Фетометрия | Плод чаще всего малый для гестационного возраста (<10-го процентиля) | Плод не обязательно малый для гестационного возраста (может быть >10-го процентиля, но имеет место выраженная динамика замедления роста в серии измерений) |
Ультразвуковая допплерография | Спектр допплеровских изменений, затрагивающих артерию пуповины, среднюю мозговую артерию и венозный проток | Перераспределение церебрального кровотока, кровоток в пупочной артерии может быть нормальным |
Ассоциация с гипертензивными расстройствами во время беременности | Часто, сильная ассоциация с преэклампсией | Не часто, слабая ассоциация с преэклампсией |
Плацентарная гистопатология | Неполноценная инвазия плаценты, неполная трансформация спиральных артерий, нарушение маточно-плацентарного кровотока | Менее специфические изменения |
Перинатальные исходы | Высокая смертность и заболеваемость, недоношенность | Более низкая смертность и заболеваемость |
Состояние сердечно-сосудистой гемодинамики матери | Низкий сердечный выброс, высокое периферическое сосудистое сопротивление | Менее выраженные сердечно-сосудистые нарушения у матери |
Приложение А3.2. Критерии диагностики задержки роста плода с ранним и поздним началом на основе критериев международного консенсуса Delphi [31]
Фенотип | |
|---|---|
Ранняя ЗРП | Поздняя ЗРП |
диагноз установлен впервые до 32 недель беременности при отсутствии врожденных аномалий | диагноз впервые установлен в сроке ≥32 нед беременности при отсутствии врожденных аномалий |
Абсолютные критерии | Абсолютные критерии |
окружность живота и/или предполагаемая масса плода <3-го процентиля
или
нулевой диастолический кровоток в артериях пуповины
| окружность живота и/или предполагаемая масса плода <3-го процентиля
|
Относительные критерии | Относительные критерии |
| необходимо как минимум два из трех следующих критериев:
|
Приложение А3.3. Факторы риска ЗРП/МГВ * [10, 42]
Факторы риска, доступные для сбора на сроке беременности до 12 недель | |||
|---|---|---|---|
Категория риска | Определение риска | Риск (ОШ/ОР), n (95% ДИ) | |
Материнские факторы риска | |||
Возраст | Возраст матери > 35 лет [135] | 1.4 (1.1-1.8) | |
Возраст матери > 40 лет [135] | 3.2 (1.9-5.4) | ||
Паритет | Нерожавшие [136] | 1.89 (1.82-1.96) | |
ИМТ | ИМТ < 20 [137] | 1.2 (1.1-1.3) | |
ИМТ 25-29.9 [137] | 1.2 (1.1-1.3) | ||
ИМТ > 30 [137] | 1.5 (1.3-1.7) | ||
Воздействие вредных веществ на организм матери | Курение [138] | 1.4 (1.2-1.7) | |
Выкуривание 1-10 сигарет в день [8] | 1.54 (1.39-1.7) | ||
Выкуривание > 11 сигарет в день [8] | 2.21 (2.03-2.4) | ||
Кокаин [139] | 3.23 (2.43-4.3) | ||
ЭКО | Одноплодная беременность после ЭКО [140] | 1.6 (1.3-2.0) | |
Физическая нагрузка | Ежедневная интенсивная физическая нагрузка [138] | 3.3 (1.5-7.2) | |
Диета | Низкое потребление фруктов до беременности [138] | 1.9 (1.3-2.8) | |
Анамнез акушерский | |||
МГВ в анамнезе | МГВ в анамнезе [7] | 3.9 (2.14-7.12) | |
Мертворождение в анамнезе | Мертворождение в анамнезе [7] | 6.4 (0.78-52.56) | |
Преэклампсия в анамнезе | Преэклампсия [26] | 1.31 (1.19-1.44) | |
Интергравидарный интервал | Интергравидарный интервал < 6 месяцев [138] | 1.26 (1.18-1.33) | |
Интергравидарный интервал > 60 месяцев [141] | 1.29 (1.2-1.39) | ||
Анамнез матери | |||
МГВ | МГВ у матери [142] | 2.64 (2.28-3.05) | |
АГ | Хроническая АГ [36] | 2.5 (2.1-2.9) | |
Сахарный диабет | Сахарный диабет и сосудистые заболевания [143] | 6 (1.5-2.3) | |
Заболевания почек | Почечная недостаточность [144] | 5.3 (2.8-10) | |
АФС | Антифосфолипидный синдром [70] | 6.22 (2.43-16.0) | |
Анамнез отца | |||
МГВ | МГВ в анамнезе [145] | 3.47 (1.17-10.27) | |
Факторы риска, относящиеся к осложнениям/особенностям течения текущей беременности | |||
Категория риска | Определение риска | Риск (ОШ/ОР), n (95% ДИ) | |
Угроза прерывания | Обильное кровотечение, аналогичное по интенсивности менструации [146] | 2.6 (1.2-5.6) | |
Эхографическая картина | Эхогенный кишечник [1] | 2.1 (1.5-2.9) | |
Преэклампсия | Преэклампсия [7] | 2.26 (1.22-4.18) | |
Индуцированная беременностью гипертензия | Умеренная [36] | 1.3 (1.3-1.4) | |
Тяжелая [36] | 2.5 (2.3-2.8) | ||
Отслойка плаценты | Отслойка плаценты [147] | 1.3-4.1 | |
Дородовое кровотечение | Дородовое кровотечение [148] [126] | 5.6 (2.5-12.2) | |
Прибавка массы тела | Низкая прибавка массы тела у матери [5] | 4.9 (1.9-12.6) | |
Воздействие веществ | Кофеин > 300 мг/сут в третьем триместре [149] | 1.9 (1.3-2.8) | |
Маркер синдрома Дауна | PAPP-A < 0.4 MoM [37] | 2.6 | |
* - жирным шрифтом выделены наиболее значимые факторы риска, значения риска которых превышает 2 Комментарий. Данная таблица приведена из клинических рекомендаций RCOG (2013). Однако в настоящее время используется комбинированный скрининг на ЗРП/МГВ (см. ниже) по аналогии с ПЭ. Поэтому факторы риска, приведенные в таблице, играют важную, но не всегда решающую роль в определении риска ЗРП/МГВ | |||
Приложение А3.4. Протокол УЗ-Допплеровского исследования маточно-плацентарного кровотока

Примечание: * Оценка проводится по показаниям.
Приложение А3.5. Примеры оценки динамики измерений предполагаемой массы плода на предмет замедления и/или недостаточного роста
В диагностические критерии ЗРП впервые была официально включена недостаточная динамика увеличения фетометрических параметров, определяемая как замедленный прирост ПМП или ОЖ, когда показатели ПМП и ОЖ пересекают два квартиля на индивидуальных графиках роста [31].
Квартили – это значения, соответствующие 25-му процентилю (нижний (первый) квартиль), 50-му процентилю (медиана, по сути – средний (второй) квартиль) и 75-му процентилю (верхний (третий) квартиль). Они делят исходную совокупность на 4 равные части, соответствующие 25%.
Для установления замедленного прироста ПМП и ОЖ необходима разница между двумя измерениями, превышающая 2 квартиля (то есть разница, превышающая 50% на процентильном графике).
Пример подобного замедленного прироста ПМП можно увидеть на рис. Г3.1. и Г3.2, где показано, что ПМП на 26-й неделе беременности соответствует 75-му процентилю, а на 34-й неделе – 20-му процентилю (разница между измерениями составляет 55 (75 – 20 = 55).

Рисунки Г3.1. и Г3.2. Пример индивидуального графика роста ПМП, выраженной в граммах, при замедленном приросте. Маркерами (+) обозначены индивидуальные показатели в различные сроки беременности [81].
Рис. Г3.3. и Г3.4. демонстрируют пример динамики ПМП, которая на 26-й неделе беременности соответствует 75-му процентилю, а на 34–й неделе – 30-му процентилю (разница между измерениями составляет 45 (75 – 30 = 45)), то есть подобный случай нельзя отнести в замедленной динамике прироста согласно данным консенсуса.

Рисунки Г3.3. и Г3.4. Пример индивидуального графика роста ПМП, выраженной в граммах, при незамедленной динамике прироста. Маркерами (+) обозначены индивидуальные показатели в различные сроки беременности [81].
Рисунок Г3.5. Паттерны измерений предполагаемой массы плода, свидетельствующие о недостаточном росте плода.

Рисунок Г3.6. Примеры наблюдений за динамикой изменения предполагаемой массы плода, демонстрирующие нормальную траекторию роста. Пациенты не нуждается в дальнейшем мониторинге роста после 38 недель и могут наблюдаться в группе низкого риска МГВ.

Приложение А3.6. Методы определения точного срока беременности:
- При обращении пациентки на УЗИ в 1 триместре беременности срок беременности устанавливается по КТР плода [33, 61, 62, 78]. Международным стандартом установления срока беременности является копчико-теменной размер плода (КТР) в сроки 9 + 0 – 13 + 6 недель [33, 61, 62, 78].
- При обращении пациентки на УЗИ в 14-26 недель срок беременности устанавливается с учетом окружности головки и длины бедра плода [63]. Измерение дополнительных параметров (бипариетального размера головки, лобно-затылочного размера головки, окружности живота) не повышает точность определения срока беременности [63].
- При УЗИ окружность головки и живота следует измерять с использованием эллипса, размещая калиперы на внешних контурах мягких тканей плода [33].
- Рекомендуется использовать международные стандарты фетометрических параметров и массы плода, созданные проспективно с соблюдением строгой методологии на большой выборке здоровых пациенток (например, стандарты INTERGROWTH-21st) [43]. К настоящему времени проведено большое международное, многонациональное, мультиэтническое проспективное исследование роста и развития плода и новорожденного в рамках проекта INTERGROWTH-21st , который включает в себя три крупных исследования: продольное исследование роста плода (ПИРП), перекрестное исследование новорожденного (ПИН) и послеродовое когортное исследование недоношенных (ПКИН) Основной вывод проекта INTERGROWTH-21st состоит в том, что показатели продольного роста скелета плода и роста новорожденного при рождении поразительно схожи во всем мире при условии, что здоровье матери, социальные условия и питание являются оптимальными и женщины имеют доступ к научно обоснованной медицинской помощи в ходе беременности и при родах [79]. Разработанная популяционная шкала фетометрических и ростовых параметров является наиболее оптимальной для оценки отклонений в физическом развитии родившегося ребенка и должна использоваться в том числе для детей, родившихся с ЗРП. В отличие от стандартов ВОЗ, она учитывает не только пол ребенка, но и его гестационный возраст (24–42 недели). Если масса и/или длина тела ниже 10-го процентиля, у ребенка диагностируется ЗРП. Показатели менее 3-го процентиля свидетельствуют о выраженной ЗРП.
Приложение А3.7. Параметры оценки нестрессового теста (НСТ)
При проведении антенатальной КТГ необходима оценка нестрессового теста. Периодические акцелерации обычно совпадают с шевелениями плода, и данные изменения начинают определяться с начала второго триместра и со сроком гестации увеличивается амплитуда и продолжительность этих изменений.
Акцелерация при нестрессовом тесте – увеличение частоты сердечных сокращений плода не менее 15 ударов в минуту и 15 секунд продолжительностью. При наличии двух или более акцелераций – тест считается реактивным.
Необходимо помнить, что частота реактивности теста увеличивается с 50% в 24-28 недель до 85% в 28-32 недели, и целесообразно использовать в более ранние сроки другие критерии акцелерации, а именно увеличение частоты сердечных сокращений плода не менее 10 ударов в минуту и 10 секунд продолжительностью.
Ареактивный нестрессовый тест – отсутствие акцелераций за 40 минут.
Приложение А3.8. Международные стандарты оценки высоты стояния дна матки во время беременности [80]
Референсные значения высоты стояния дна матки (см) [40] | |||||||
|---|---|---|---|---|---|---|---|
Гестационный возраст (полных недель) | Процентили | ||||||
3й | 5й | 10й | 50й | 90й | 95й | 97й | |
16 | 13,2 | 13,5 | 14,0 | 15,8 | 17,6 | 18,1 | 18,5 |
17 | 14,1 | 14,4 | 14,9 | 16,8 | 18,6 | 19,1 | 19,5 |
18 | 15,0 | 15,4 | 15,9 | 17,8 | 19,6 | 20,2 | 20,5 |
19 | 16,0 | 16,3 | 16,9 | 18,8 | 20,7 | 21,2 | 21,5 |
20 | 16,9 | 17,3 | 17,8 | 19,8 | 21,7 | 22,2 | 22,6 |
21 | 17,9 | 18,2 | 18,8 | 20,8 | 22,7 | 23,3 | 23,6 |
22 | 18,8 | 19,2 | 19,8 | 21,8 | 23,8 | 24,3 | 24,7 |
23 | 19,8 | 20,1 | 20,7 | 22,8 | 24,8 | 25,4 | 25,7 |
24 | 20,7 | 21,1 | 21,7 | 23,8 | 25,8 | 26,4 | 26,8 |
25 | 21,7 | 22,1 | 22,7 | 24,7 | 26,8 | 27,4 | 27,8 |
26 | 22,6 | 23,0 | 23,6 | 25,7 | 27,9 | 28,5 | 28,9 |
27 | 23,5 | 23,9 | 24,6 | 26,7 | 28,9 | 29,5 | 29,9 |
28 | 24,5 | 24,9 | 25,5 | 27,7 | 29,9 | 30,5 | 30,9 |
29 | 25,4 | 25,8 | 26,4 | 28,6 | 30,9 | 31,5 | 31,9 |
30 | 26,3 | 26,7 | 27,3 | 29,6 | 31,8 | 32,5 | 32,9 |
31 | 27,1 | 27,6 | 28,2 | 30,5 | 32,8 | 33,5 | 33,9 |
32 | 28,0 | 28,4 | 29,1 | 31,4 | 33,8 | 34,4 | 34,8 |
33 | 28,9 | 29,3 | 30,0 | 32,3 | 34,7 | 35,4 | 35,8 |
34 | 29,7 | 30,1 | 30,8 | 33,2 | 35,6 | 36,3 | 36,7 |
35 | 30,5 | 30,9 | 31,6 | 34,0 | 36,5 | 37,2 | 37,6 |
36 | 31,3 | 31,7 | 32,4 | 34,9 | 37,3 | 38,0 | 38,5 |
37 | 32,0 | 32,5 | 33,2 | 35,7 | 38,2 | 38,9 | 39,3 |
38 | 32,8 | 33,2 | 33,9 | 36,5 | 39,0 | 39,7 | 40,2 |
39 | 33,5 | 33,9 | 34,7 | 37,2 | 39,8 | 40,5 | 41,0 |
40 | 34,1 | 34,6 | 35,4 | 38,0 | 40,5 | 41,3 | 41,8 |
41 | 34,8 | 35,3 | 36,0 | 38,7 | 41,3 | 42,0 | 42,5 |
42 | 35,4 | 35,9 | 36,9 | 39,3 | 42,0 | 42,7 | 43,2 |
Международные стандарты оценки высоты стояния дна матки [40]
Приложение А3.9. Международные стандарты оценки роста плода во время беременности на примере процентильных графика и таблицы для предполагаемой массы и окружности живота плода [80]
Референсные значения предполагаемой массы плода (г) [150] | |||||||
|---|---|---|---|---|---|---|---|
Гестационный возраст (полных недель) | Процентили | ||||||
3й | 5й | 10й | 50й | 90й | 95й | 97й | |
22 | 463 | 470 | 481 | 525 | 578 | 596 | 607 |
23 | 516 | 524 | 538 | 592 | 658 | 680 | 695 |
24 | 575 | 585 | 602 | 669 | 751 | 778 | 796 |
25 | 641 | 654 | 674 | 756 | 858 | 891 | 913 |
26 | 716 | 732 | 757 | 856 | 980 | 1020 | 1048 |
27 | 800 | 818 | 849 | 969 | 1119 | 1168 | 1202 |
28 | 892 | 915 | 951 | 1097 | 1276 | 1335 | 1375 |
29 | 994 | 1021 | 1065 | 1239 | 1452 | 1521 | 1569 |
30 | 1106 | 1138 | 1190 | 1396 | 1647 | 1728 | 1783 |
31 | 1227 | 1265 | 1326 | 1568 | 1860 | 1953 | 2016 |
32 | 1357 | 1401 | 1473 | 1755 | 2089 | 2195 | 2266 |
33 | 1495 | 1547 | 1630 | 1954 | 2332 | 2450 | 2529 |
34 | 1641 | 1700 | 1795 | 2162 | 2583 | 2713 | 2800 |
35 | 1792 | 1860 | 1967 | 2378 | 2838 | 2978 | 3071 |
36 | 1948 | 2024 | 2144 | 2594 | 3089 | 3237 | 3335 |
37 | 2106 | 2190 | 2321 | 2806 | 3326 | 3480 | 3582 |
38 | 2265 | 2355 | 2495 | 3006 | 3541 | 3697 | 3799 |
39 | 2422 | 2516 | 2663 | 3186 | 3722 | 3876 | 3976 |
40 | 2574 | 2670 | 2818 | 3338 | 3858 | 4006 | 4101 |
Международные стандарты роста плода. Предполагаемая масса плода [150][79]

Референсные значения окружности живота плода (мм) [79] | |||||||
|---|---|---|---|---|---|---|---|
Гестационный возраст (полных недель) | процентили | ||||||
3й | 5й | 10й | 50й | 90й | 95й | 97й | |
14 | 72.9 | 73.8 | 75.3 | 80.6 | 85.9 | 87.4 | 88.4 |
15 | 82,9 | 84,1 | 85,8 | 91,9 | 98,1 | 99,8 | 100,9 |
16 | 93,0 | 94,3 | 96,3 | 103,2 | 110,1 | 112,1 | 113,4 |
17 | 103,1 | 104,5 | 106,7 | 114,4 | 122,1 | 124,3 | 125,7 |
18 | 113,2 | 114,8 | 117,2 | 125,6 | 134,0 | 136,4 | 138,0 |
19 | 123,3 | 125,0 | 127,6 | 136,7 | 145,8 | 148,4 | 150,1 |
20 | 133,4 | 135,2 | 138,0 | 147,7 | 157,5 | 160,3 | 162,1 |
21 | 143,4 | 145,3 | 148,3 | 158,7 | 169,1 | 172,0 | 174,0 |
22 | 153,5 | 155,5 | 158,6 | 169,6 | 180,6 | 183,7 | 185,7 |
23 | 163,4 | 165,6 | 168,9 | 180,4 | 192,0 | 195,3 | 197,4 |
24 | 173,3 | 175,6 | 179,0 | 191,2 | 203,3 | 206,8 | 209,0 |
25 | 183,2 | 185,5 | 189,1 | 201,8 | 214,5 | 218,1 | 220,5 |
26 | 192,9 | 195,4 | 199,1 | 212,4 | 225,7 | 229,5 | 231,9 |
27 | 202,6 | 205,1 | 209,1 | 222,9 | 236,8 | 240,7 | 243,2 |
28 | 212,1 | 214,7 | 218,8 | 233,3 | 247,8 | 251,9 | 254,5 |
29 | 221,4 | 224,2 | 228,5 | 243,6 | 258,7 | 263,0 | 265,8 |
30 | 230,6 | 233,5 | 238,0 | 253,8 | 269,6 | 274,1 | 277,0 |
31 | 239,6 | 242,6 | 247,4 | 263,9 | 280,5 | 285,2 | 288,3 |
32 | 248,4 | 251,6 | 256,5 | 273,9 | 291,3 | 296,3 | 299,5 |
33 | 256,9 | 260,3 | 265,5 | 283,8 | 302,2 | 307,4 | 310,7 |
34 | 265,2 | 268,7 | 274,3 | 293,6 | 313,0 | 318,5 | 322,0 |
35 | 273,2 | 276,9 | 282,8 | 303,3 | 323,8 | 329,6 | 333,4 |
36 | 280,8 | 284,8 | 291,0 | 312,8 | 334,6 | 340,9 | 344,9 |
37 | 288,1 | 292,4 | 299,0 | 322,3 | 345,5 | 352,1 | 356,4 |
38 | 295,1 | 299,6 | 306,7 | 331,6 | 356,4 | 363,5 | 368,1 |
39 | 301,6 | 306,5 | 314,1 | 340,8 | 367,4 | 375,0 | 379,9 |
40 | 307,7 | 312,9 | 321,1 | 349,8 | 378,5 | 386,7 | 392,0 |
Международные стандарты роста плода. Окружность живота плода [79]
Приложение А3.10. Таблица референсных значений УЗ-допплеровских показателей пульсационного индекса артерий пуповины и церебрально-плацентарного отношения
Референсные интервалы для ПИ в артериях пуповины и ЦПО, предложенные Фондом Медицины Плода [93] | ||||||
|---|---|---|---|---|---|---|
Срок беременности (недель) | Пульсационный индекс артерии пуповины | Церебрально-плацентарное отношение | ||||
5 процентиль | 50 процентиль | 95 процентиль | 5 процентиль | 50 процентиль | 95 процентиль | |
20 | 0,955 | 1,218 | 1,553 | 0,872 | 1,212 | 1,686 |
21 | 0,939 | 1,197 | 1,526 | 0,934 | 1,289 | 1,780 |
22 | 0,922 | 1,176 | 1,499 | 0,996 | 1,367 | 1,877 |
23 | 0,906 | 1,155 | 1,472 | 1,059 | 1,447 | 1,977 |
24 | 0,889 | 1,134 | 1,446 | 1,121 | 1,526 | 2,079 |
25 | 0,871 | 1,113 | 1,420 | 1,181 | 1,605 | 2,180 |
26 | 0,854 | 1,092 | 1,395 | 1,237 | 1,680 | 2,281 |
27 | 0,836 | 1,070 | 1,371 | 1,290 | 1,751 | 2,378 |
28 | 0,818 | 1,049 | 1,346 | 1,336 | 1,817 | 2,471 |
29 | 0,800 | 1,028 | 1,322 | 1,375 | 1,875 | 2,557 |
30 | 0,782 | 1,007 | 1,299 | 1,406 | 1,924 | 2,634 |
31 | 0,763 | 0,986 | 1,275 | 1,426 | 1,962 | 2,700 |
32 | 0,744 | 0,965 | 1,252 | 1,436 | 1,988 | 2,753 |
33 | 0,725 | 0,944 | 1,229 | 1,434 | 2,000 | 2,790 |
34 | 0,706 | 0,923 | 1,207 | 1,419 | 1,997 | 2,811 |
35 | 0,687 | 0,902 | 1,184 | 1,392 | 1,979 | 2,813 |
36 | 0,668 | 0,881 | 1,162 | 1,353 | 1,944 | 2,795 |
37 | 0,649 | 0,860 | 1,140 | 1,301 | 1,894 | 2,756 |
38 | 0,630 | 0,839 | 1,118 | 1,239 | 1,827 | 2,696 |
39 | 0,610 | 0,818 | 1,097 | 1,167 | 1,747 | 2,615 |
40 | 0,591 | 0,797 | 1,075 | 1,086 | 1,653 | 2,514 |
41 | 0,572 | 0,776 | 1,053 | 1,000 | 1,547 | 2,394 |
Приложение А3.11. Таблица референсных значений УЗ-допплеровских показателей пульсационного индекса маточных артерии (среднее арифметическое пульсационных индексов правой и левой маточных артерий)
Референсные интервалы среднего ПИ маточных артерий по Gómez [87] | |||
|---|---|---|---|
Срок беременности (недель) | Средний пульсационный индекс маточных артерий | ||
5 процентиль | 50 процентиль | 95-й процентиль | |
11 | 1,18 | 1,79 | 2,70 |
12 | 1,11 | 1,68 | 2,53 |
13 | 1,05 | 1,58 | 2,38 |
14 | 0,99 | 1,49 | 2,24 |
15 | 0,94 | 1,41 | 2,11 |
16 | 0,89 | 1,33 | 1,99 |
17 | 0,85 | 1,27 | 1,88 |
18 | 0,81 | 1,20 | 1,79 |
19 | 0,78 | 1,15 | 1,70 |
20 | 0,74 | 1,10 | 1,61 |
21 | 0,71 | 1,05 | 1,54 |
22 | 0,69 | 1,00 | 1,47 |
23 | 0,66 | 0,96 | 1,41 |
24 | 0,64 | 0,93 | 1,35 |
25 | 0,62 | 0,89 | 1,30 |
26 | 0,60 | 0,86 | 1,25 |
27 | 0,58 | 0,84 | 1,21 |
28 | 0,56 | 0,81 | 1,17 |
29 | 0,55 | 0,79 | 1,13 |
30 | 0,54 | 0,77 | 1,10 |
31 | 0,52 | 0,75 | 1,06 |
32 | 0,51 | 0,73 | 1,04 |
33 | 0,50 | 0,71 | 1,01 |
34 | 0,50 | 0,70 | 0,99 |
35 | 0,49 | 0,69 | 0,97 |
36 | 0,48 | 0,68 | 0,95 |
37 | 0,48 | 0,67 | 0,94 |
38 | 0,47 | 0,66 | 0,92 |
39 | 0,47 | 0,65 | 0,91 |
40 | 0,47 | 0,65 | 0,90 |
41 | 0,47 | 0,65 | 0,89 |
Приложение Б. Алгоритмы действий врача
Мониторинг, сроки и способ родоразрешения при ЗРП и МГВ
| Мониторинг | Срок и способ родоразрешения |
|---|---|---|
МГВ (ПМП 3-ий -9-ый процентиль) + нормальное количество вод, нормальные показатели УЗ-Допплеровского исследования | УЗ-Допплер: до 32 нед. – ПА, с 32 нед. ПА, СМА, ЦПО через 1-2 нед. УЗИ: каждые 2 нед. КТГ: 1-2 раза в нед. с 28 нед. | 37-39 нед. Возможна индукция |
ЗРП (ПМП < 3-го процентиля) + нормальное количество вод, нормальные показатели УЗ-Допплеровского исследования | УЗ-Допплер: до 32 нед. - ПА, с 32 нед. ПА, СМА, ЦПО 1-2 раза в нед. УЗИ: каждые 2 нед. КТГ: 1-2 раза в нед. с 28 нед. | 36-38 нед. Возможна индукция |
ЗРП в сочетании с
√ ПИ в ПА> 95-го процентиля или √ ПИ в СМА <5-го процентиля или √ ЦПО <5-го процентиля или √ ПИ в МА> 95-го процентиля
| Рассмотреть возможность стационарного мониторинга Рассмотреть возможность профилактики РДС КТГ: 1-2 раза в нед. УЗ-Допплер: до 32 нед - ПА, с 32 нед. ПА, СМА, ЦПО 1-2 раза в нед. УЗИ: каждые 2 нед. | 34-37 нед. Кесарево сечение или индукция |
ЗРП в сочетании с нулевым или реверсным диастолический кровоток в ПА | Стационарный мониторинг Профилактика РДС КТГ: 1-2 раза в день УЗ-Допплер: ПА, венозный проток каждые 24 - 48 часов. УЗИ: каждые 2 нед. | Нулевой кровоток в ПА: 32-34 нед. Реверсный кровоток в ПА: 30-32 нед. Кесарево сечение |
ЗРП в сочетании с нарушениями кровотока в венозном протоке | Стационарный мониторинг Профилактика РДС КТГ: 2 раза в день Допплерография: ПА, венозный проток каждые 24 часа. | 26-30 нед. Кесарево сечение |
Приложение В. Информация для пациента
Беременная женщина или будущие родители должны получать подробную информацию и обширные консультации по поводу ЗРП как осложнения беременности и индивидуального течения и последствий ЗРП. Матери / будущим родителям также следует сказать, что ребенок может быть конституционально маленьким, что может приводить к увеличению перинатальной заболеваемости. Эти беседы должны проводиться междисциплинарной командой, в которую входят специалист по дородовой медицине / акушер и неонатолог. В зависимости от выявленной у плода патологии, следует также консультироваться с врачами - педиатрами и специалистами по медицинской генетике. Помимо информации о возможных причинах, следует также предоставить информацию о краткосрочных и долгосрочных последствиях, риске рецидива и, в зависимости от случая, возможных диагностических исследованиях.
Индивидуальные медицинские, психологические и социальные вопросы беременной женщины или будущих родителей о диагнозе должны быть обсуждены во время всесторонней междтсциплинарной медицинской консультации. Все необходимые решения должны приниматься в рамках совместного процесса принятия решений. Наиболее важные результаты информационных и консультационных сессий должны быть документированы протоколами перинатального консилиума.
Приложение Г1-ГN. Шкалы оценки, вопросники и другие оценочные инструменты состояния пациента, приведенные в клинических рекомендациях
Информация отсутствует.