Черепно-мозговая травма у детей
классификации болезней и проблем, связанных со здоровьем:S06
Список сокращений
МКБ 10 – Международная классификация 10 пересмотра
ЧМТ- черепно-мозговая травма
АТФ – аденозинтрифосфат
СКТ – спиральная компьютерная томография
ШКГ – шкала ком Глазго
ВЧД – внутричерепное давление
ДТЧ - декомпрессивная трепанация черепа
ВЧГ – внутричерепная гипертензия
УЗИ – ультразвуковое исследование
ТЧМТ – тяжелая черепно-мозговая травма
КТ – компьютерная томография
ЭКГ – регистрация электрокардиограммы
ЭЭГ – электроэнцефалография
Термины и определения
Доказательная медицина – подход к медицинской практике, при котором решения о применении профилактических, диагностических и лечебных мероприятий принимаются исходя из имеющихся доказательств их эффективности и безопасности, а такие доказательства подвергаются поиску, сравнению, обобщению и широкому распространению для использования в интересах пациентов.
Рабочая группа – двое или более людей одинаковых или различных профессий, работающих совместно и согласованно в целях создания клинических рекомендаций, и несущих общую ответственность за результаты данной работы. Состояние - изменения организма, возникающие в связи с воздействием патогенных и (или) физиологических факторов и требующие оказания медицинской помощи;
Уровень достоверности доказательств – отражает степень уверенности в том, что найденный эффект от применения медицинского вмешательства является истинным.
Уровень убедительности рекомендаций – отражает не только степень уверенности в достоверности эффекта вмешательства, но и степень уверенности в том, что следование рекомендациям принесет больше пользы, чем вреда в конкретной ситуации. Хирургическое вмешательство – инвазивная процедура, может использоваться в целях диагностики и/или как метод лечения заболеваний.
Стандарт - общепризнанные принципы диагностики и лечения, которые могут рассматриваться в качестве обязательной лечебной тактики (эффективность подтверждена несколькими рандомизированными исследованиями, мета- анализами или когортными клиническими исследованиями). Рекомендация. Лечебные и диагностические мероприятия, рекомендованные к использованию большинством экспертов по данным вопросам. Могут рассматриваться как варианты выбора лечения в конкретных клинических ситуациях (эффективность подтверждена отдельными рандомизированными исследованиями или когортными клиническими исследованиями).
Опция - лечебные или диагностические мероприятия, которые могут быть полезны (эффективность подтверждена мнением отдельных экспертов, в отдельных клинических случаях). Не рекомендуется - лечебные и диагностические мероприятия, не имеющие положительного эффекта или могущие принести вред (любой уровень подтверждения).
1. Краткая информация по заболеванию или состоянию (группы заболеваний или состояний)
1.1 Определение заболевания или состояния (группы заболеваний или состояний)
Черепно-мозговая травма – это повреждение механической энергией черепа и внутричерепного содержимого, включающего в себя вещество мозга, сосуды мозга, черепно-мозговые нервы и мозговые оболочки. Диагноз устанавливается при наличии четкого указания на травму головы (травматический анамнез).
1.2 Этиология и патогенез заболевания или состояния (группы заболеваний или состояний)
Черепно-мозговая травма (ЧМТ) у детей встречается чаще, чем у взрослых. Смертность среди детей с тяжелой ЧМТ колеблется по разным регионам от 12 до 30% и более [2,9]. Результаты опроса, проведенного в НИИ НДХиТ в 2008г в различных федеральных округах, показали, что частота встречаемости ЧМТ среди детского населения весьма вариабельна, что в значительной степени может быть связано с отсутствием единой системы отчетности и регистрации. Вместе с тем статистический анализ показал, что среди госпитализированных детей с нейротравмой удельный вес тяжелой черепно-мозговой травмы составляет 6%, а это – порядка 4000 инвалидов ежегодно [2].
1.3 Эпидемиология заболевания или состояния (группы заболеваний или состояний)
Современная концепция повреждения мозга при черепно-мозговой травме основана на концепции первичных и вторичных факторов повреждения. Травмирующий фактор в течение миллисекунд вызывает первичные (необратимые) повреждения, которые запускают каскад вторичных деструктивных биохимических и иммунологических реакций. Факторы вторичного повреждения мозга подразделяются на внутричерепные (отек мозга, внутричерепные гематомы и кровоизлияния, интракраниальная инфекция и др.) и внечерепные (гипоксия, артериальная гипотензия, гипо-, гиперкапния, гипо-, гипергликемия, гипертермия, артериальная гипертензия, инфекция и др.)
Вторичные повреждения в совокупности с первичными структурными повреждениями вещества мозга существенно усугубляют тяжесть состояния пострадавших и могут быть причиной неблагоприятного исхода. Вторичное повреждение мозга рассматривается как потенциально обратимый процесс при своевременном вмешательстве.
Основные звенья патогенеза ЧМТ развиваются независимо от возраста пострадавшего. Вместе с тем, чем младше ребенок, тем ярче представлены анатомо-физиологические отличия, обуславливающие особенности механизма реакции мозга на травму- это интенсивность обменных процессов; низкая толерантность к кровопотере; низкая толерантность к гипоксии и гипотонии; склонность к отёку и набуханию мозга; низкая толерантность к гипертермии; преобладание общемозговых генерализованных реакций над очаговыми местными проявлениями; высокие компенсаторные возможности с внезапной и быстрой декомпенсацией функций.
1.4 Особенности кодирования заболевания или состояния (группы заболеваний или состояний) по Международной статической класификации болезней и проблем, связанных со здоровьем
S06.0 – сотрясение головного мозга
S06.1- Травматический отек головного мозга
S06.2 Диффузная травма головного мозга
S06.3 Очаговая травма головного мозга
S06.4 Эпидуральное кровоизлияние
S06.5 Травматическое субдуральное кровоизлияние
S06.6 Травматическое субарахноидальное кровоизлияние
S06.7 Внутричерепная травма с продолжительным коматозным состоянием
S06.8 Другие внутричерепные травмы
1.5 Классификация заболевания или состояния (группы заболеваний или состояний)
Классификацию ЧМТ основана на ее биомеханике, виде, типе, характере, форме, тяжести повреждений, клинической фазе, периоде течения, а также исходе травмы [Потапов А.А. и соавт., 2003; Коновалов А.Н. и соавт., 1998 – 2002].
Легкая ЧМТ (ЛЧМТ) – остро развившееся нарушение функции мозга, являющееся следствием травматического воздействия, при котором может отмечаться кратковременная потеря сознания (до 30 минут) и/или амнезия (до 24 часов). Она включает в себя одну нозологию - сотрясения головного мозга.
Сотрясение головного мозга (СГМ) - наиболее лёгкая клиническая форма диффузного транзиторного повреждения мозга, в основе которого лежат метаболические, ионные, нейротрансмиттерные нарушения и нейровоспаление, характеризующаяся отсутствием видимых изменений на компьютерной томографии (КТ)
Средне-тяжелая ЧМТ включает в себя ушиб мозга легкой и средней степени тяжести, эпидурально-поднадкостничные гематомы без сдавления мозга.
Тяжелая черепно-мозговая травма включает в себя
· ушиб мозга тяжелой степени,
· внутричерепные гематомы со сдавлением (острая эпидуральная, субдуральная, внутримозговая гематома),
· диффузно-аксональное повреждение [1,3,7].
В оценке тяжести черепно-мозговой травмы в мировом сообществе широкое применение получила шкала комы Глазго (ШКГ) (Приложение Г1), разработанная в 1974 г. G.Teasdale и B.Jennet. Значимость ШКГ определяется возможностью объективной оценки тяжести повреждения мозга с использованием количественной шкалы. Для пациентов детского возраста с учетом возрастных особенностей разработана педиатрическая шкала (Приложение Г2).
1. Легкая ЧМТ - 13–15 баллов ШКГ (соответствует сотрясению головного мозга и ушибу мозга легкой степени).
2. Среднетяжелая ЧМТ- 9–12 баллов ШКГ (соответствует ушибу мозга средней степени тяжести)
3. Тяжелая черепно-мозговая травма - 3–8 баллов ШКГ (соответствует ушибу мозга тяжелой степени)
Одна и другая классификация хорошо совместимы [3].
По биомеханике различают ЧМТ: 1) ударно-противоударную, 2) ускорения замедления, 3) сочетанную.
По виду повреждения: 1) очаговая, 2) диффузная, 3) сочетанная.
По генезу повреждения мозга при ЧМТ дифференцируют: 1) первичные повреждения, которые возникают в результате непосредственного воздействия 11 11 травмирующих факторов – очаговые ушибы и размозжения мозга, диффузные аксональные повреждения, первичные внутричерепные гематомы, их сочетания;
2) вторичные интракраниальные повреждения являются результатом воздействия таких факторов, как нарушение проницаемости ГЭБ, увеличения объема мозга или его набухания вследствие отека, гиперемии или венозного полнокровия, повышения интракраниального давления, смещений и деформаций мозга, отсроченных гематом (эписубдуральных, внутримозговых), нарушения гемо- и ликвороциркуляции в результате субарахноидального или внутри желудочкового кровоизлияния, внутричерепной инфекции и др. б) вторичные экстракраниальные факторы: артериальная гипотензия, гипоксемия, гиперкапния, анемия и др. [Reilly P., Bullock R., 2005]. Вторичные факторы могут быть предупреждены или излечены, что зависит от своевременной и правильной диагностики, организации и качества нейрохирургической помощи.
Выделяют следующие клинические формы ЧМТ: 1) сотрясение мозга, 2) ушиб мозга легкой степени, 3) ушиб мозга средней степени, 4) ушиб мозга тяжелой степени, 5) диффузное аксональное повреждение, 6) сдавление мозга, 7) сдавление головы.
При ЧМТ выделяют три базисных периода в течение травматической болезни головного мозга [Лихтерман Л.Б. и соавт., 2012]: 1) острый, 2) промежуточный, 3) отдаленный. Острый период – это промежуток времени от момента повреждающего воздействия механической энергии на головной мозг с внезапным расстройством его интегративно регуляторных и локальных функций до стабилизации на том или ином уровне нарушенных общемозговых и общеорганизменных функций, либо смерти пострадавшего. Временная протяженность острого периода от 2 до 10 недель в зависимости от клинической формы ЧМТ. Примерные сроки острого периода ЧМТ при сотрясении мозга – до 2 недели легком ушибе мозга – до 3 недели, средне- тяжелом ушибе мозга – до 4 – 5 неделей, тяжелом ушибе мозга – до 6 – 8 неделей6 диффузном аксональном повреждении – до 8 –10 неделей, сдавлении мозга – от 3 до 10 неделей (в зависимости от фона).
Промежуточный период – это промежуток времени от стабилизации нарушенных травмой общеорганизменных, общемозговых, очаговых функций до их полного или частичного восстановления или устойчивой компенсации. Временная протяженность промежуточного периода: при легкой ЧМТ – до 2 месяцев, при среднетяжелой ЧМТ – до 4 месяцев, при тяжелой ЧМТ – до 6 месяцев.
Отдаленный период – это период клинического выздоровления, либо максимально достижимой реабилитации нарушенных функций, либо возникновения и/или 12 12 прогрессирования обусловленных перенесенной ЧМТ новых патологических состояний. Временная протяженность отдаленного периода: при клиническом выздоровлении – до 2 лет, при проградиентном течении – не ограничена [Лихтерман Л.Б. и соавт., 2012].
Рекомендуется при первичной оценке состояния установить ее характер. По наличию повреждений мягких тканей выделяют закрытую тяжелую ЧМТ (с повреждением мягких тканей до апоневроза) и открытую (с повреждением мягких тканей глубже апоневроза).
По наличию повреждений ТМО выделяют проникающую (ТМО повреждена) и непроникающую (ТМО не повреждена) тяжелую ЧМТ.
Среди типов ЧМТ различают: изолированную (если отсутствуют какие-либо внечерепные повреждения), сочетанную (если механическая энергия одновременно вызывает внечерепные повреждения) и комбинированную (если одновременно воздействуют различные виды энергии — механическая и термическая или лучевая, или химическая) травмы [1, 3].
1.6 Клиническая картина заболевания или состояния (группы заболеваний или состояний)
При осмотре головы могут быть выявлены признаки, указывающие на факт перенесенной травмы (ушибы, ссадины, раны) и перелом костей основания черепа (кровоподтеки в области сосцевидного отростка (симптом Беттла), периорбитальные гематомы (симптом «очков»), истечение жидкости из наружных слуховых проходов, носа, рта), эмфизема лица, подвижность костей лицевого скелета, экзофтальм, гематомы мягких тканей. После общего осмотра проводится оценка неврологического статуса пациента, включающая: 1) оценку уровня сознания по шкале комы Глазго (Приложения Г1, Г2), 2) состояния зрачков (диаметр, симметричность, фотореакции), 3) двигательного ответа на болевое раздражение (локализация боли, сгибательная реакция, разгибательная реакция, отсутствие двигательной реакции) 4) функций черепных нервов, 5) состояние рефлексов, 6) менингеального синдрома, 7) глазодвигательных нарушений. Все пациенты с ЧМТ требуют повторного динамического неврологического осмотра.
При неврологическом осмотре необходимо учитывать, что острая эпидуральная гематома в 10% случаев, а острая субдуральная – в 5% может характеризоваться трехфазным течением – первичная утрата сознания, далее светлый промежуток и повторное ухудшение состояния с развитием снижения уровня сознания до сопора или комы (Коновалов А.Н., 2001; Крылов В.В. и соавт., 2019). Следует иметь в виду, что помимо классического «светлого» промежутка после первичной утраты сознания может отмечаться редуцированный «светлый» промежуток или его отсутствие.
Острая субдуральная гематома может быть как изолированной, так и сочетаться с контузионными очагами повреждения головного мозга. Ушиб головного мозга тяжелой степени характеризуется утратой сознания на срок от нескольких часов до нескольких суток, развивается снижение бодрствования до сопора или комы, может отмечаться психомоторное возбуждение, стволовые симптомы, горметония, менингеальные знаки, эпилептические приступы, нарушение витальных функций. Появление брадикардии при ЧМТ обусловлено рефлекторным раздражением ядер блуждающего нерва вследствие ВЧГ и дислокации. Анизокория чаще развивается на стороне гематомы при начальной фазе височно-тенториальной дислокации, чаще при острых субдуральных гематомах, однако не во всех случаях (до 30% по данным НИИ СП им. Склифосовского, 2019). При наличии анизокории в 82% случаев она отмечалась на стороне гематомы, в 18% на противоположной стороне (Крылов В.В. и соавт., 2019).
Клиническая картина острой эпидуральной гематомы зависит от темпа ее развития и локализации, при быстром развитии дислокационного синдрома пациенты могут поступать в стационар в тяжелом состоянии, при этом частота сопора и комы доходит до 60% (Коновалов А.Н. и соавт., 2001; Крылов В.В. и соавт., 2019). Часто при данном виде гематом отмечается отсутствие светлого промежутка до 40% случаев.
При прогрессировании дислокационного синдрома развивается общемозговая, гипертензионная, менингеальная симптоматика, сонливость, психомоторное возбуждение, брадикардия и последующее снижение уровня бодрствования. У 7% 15 15 пациентов возможны судороги (Крылов В.В. и соавт., 2019). Особенностью клинического течения ОЭГ является возможность их отсроченного нарастания в динамике, в связи с этим всем пострадавшим с тяжелой ЧМТ при ухудшении состояния или при выявлении ОЭГ небольшого объема необходимо проведение повторной СКТ головного мозга. До 90% пациентов с ОЭГ имеет перелом костей черепа. В отличие от эпидуральных, субдуральные гематомы не ограничены в своем распространении и могут располагаться над 2 долями мозга и более, при этом переломы костей черепа при ОСГ встречаются реже, чем при ОЭГ – до 45% (Крылов В.В. и соавт., 2019).
В отличие от ОЭГ при ОСГ дислокационный синдром развивается медленнее, в клинической картине преобладают общемозговые симптомы и психические нарушения, несколько чаще встречаются эпилептические приступы (до 12%). Трехфазное течение при ОСГ встречается редко, однако чаще выражена анизокория (до 56%) и брадикардия (50%), до 28% пациентов имеет контралатеральную пирамидную недостаточность. Тяжесть состояния пациента с ОСГ обусловлена ее объемом, так при объеме гематомы до 50 см3 пациенты не имеют грубого нарушения уровня бодрствования.
Диффузное аксональное повреждение головного мозга характеризуется длительным (до 2—3 нед.) коматозным состоянием, выраженными стволовыми симптомами (парез взора вверх, разностояние глаз по вертикальной оси, двустороннее угнетение или выпадение световой реакции зрачков, нарушение или отсутствие окулоцефалического рефлекса и др.). Часто наблюдаются нарушения частоты и ритма дыхания, нестабильность гемодинамики. Характерной особенностью клинического течения диффузного аксонального повреждения является переход из длительной комы в стойкое или транзиторное вегетативное состояние, о наступлении которого свидетельствует появление ранее отсутствовавшего открывания глаз спонтанно либо в ответ на различные раздражения. При этом нет признаков слежения, фиксации взора или выполнения хотя бы элементарных инструкций (данное состояние называют апаллическим синдромом).
Вегетативное состояние у таких больных длится от нескольких суток до нескольких месяцев и характеризуется функциональным и/или анатомическим разобщением больших полушарий и ствола мозга. По мере выхода из вегетативного состояния неврологические симптомы разобщения сменяются преимущественно симптомами выпадения. Среди них доминирует экстрапирамидный синдром с выраженной мышечной скованностью, дискоординацией, брадикинезией, олигофазией, гипомимией, мелкими гиперкинезами, атаксией. Одновременно четко проявляются 16 16 нарушения психики: резко выраженная аспонтанность (безразличие к окружающему, неопрятность в постели, отсутствие любых побуждений к какой-либо деятельности), амнестическая спутанность, слабоумие и др. Вместе с тем наблюдаются грубые аффективные расстройства в виде гневливости, агрессивности.
2. Диагностика заболевания или состояния (группы заболеваний или состояний) медицинские показания и противопоказания к применению методов диагностики
Критерии установления заболевания или состояния:
· анамнестические данные: наличие факта травмы согласно описанию пострадавшего или очевидцев.
· физикальное обследование: клиническая картина черепно-мозговой травмы (нарушение сознания, очаговая, менингеальная симптоматика, дислокационный синдром) наличие ран и ссадин, признаков перелома костей черепа, наличие кровотечения, ликвореи, выделения детрита через рану.
· инструментальное обследование: КТ головного мозга, рентгенография черепа
Рекомендуется при оценке неврологического статуса на всех этапах оказания специализированной помощи использовать шкалу комы Глазго с учетом возрастных особенностей для определения тяжести состояния пострадавшего ребенка (Приложения Г1, Г2) [35].
Уровень убедительности рекомендаций С (Уровень достоверности доказательств - 4)
Рекомендуется всем пациентам с нарушением сознания дополнительно использовать шкалу FOUR (приложение Г8) и Питтсбургскую шкалу повреждения ствола мозга (Приложение Г9) для уточнения неврологического статуса и тяжести повреждения[117]
Уровень убедительности рекомендаций С (Уровень достоверности доказательств - 4)
Рекомендовано всем пациентам с нарушением сознания как можно раньше начать проведение мониторинга АД, ЧСС, ЧД, пульсоксиметрии для контроля за состоянием пострадавшего [35, 106].
Уровень убедительности рекомендаций С (Уровень достоверности доказательств - 4)
Комментарии:
Оценка общего состояния пациента включает в себя оценку уровня бодрствования (ШКГ), состояния дыхательных путей и характера дыхания (свободное, затрудненное, поверхностное, патологическое, ритмичное, наличие или отсутствие пневмо-гемоторакса) и оценку состояния сердечно-сосудистой системы (характер пульса на сонной и лучевой артерии (при отсутствии пульса на лучевой и наличие его на сонной систолическое давление в пределах 50 – 70 мм. рт. столба), тоны сердца, ЧСС, АД), оценку уровня бодрствования.
На догоспитальном этапе, особенно у пациентов, находящихся в коматозном состоянии, важно оценить состояние стволовых функций, в структуре которых принципиальное значение имеет состояние зрачков (патология: ассимметрия зрачков (анизокория), фиксированое двустороннее расширение зрачков (мидриаз), отсутствие реакции на яркий свет).
Угнетение уровня бодрствования менее 9 баллов по ШКГ, симметричное или асимметричное увеличение диаметра зрачков (анизокория) с нарушением их реакции на свет, симметричное или асимметричное повышение мышечного тонуса вплоть до децеребрационной ригидности, нестабильность артериального давления, брадикардия, свидетельствуют о тяжелом и крайне тяжелом состоянии пострадавшего и развитии дислокационного синдрома.
Мониторинг состояния витальных функций продолжают в машине. Наряду с оценкой сердечно-сосудистой и дыхательной систем, обращают особое внимание на динамику нарушения сознания, состояния зрачков, наличие и прогрессирование двигательных нарушений (парезы и параличи) и мышечного тонуса для выявления возможного нарастания дислокационного синдрома
2.1 Жалобы и анамнез
При сборе анамнеза рекомендовано определить механизм, место и время травмы. При сборе анамнеза важно учитывать особенности психомоторного развития ребенка. В связи с тем, что пациент с тяжелой ЧМТ находится в коматозном состоянии выяснение анамнеза и обстоятельств травмы необходимо при возможности проводить у родственников или сопровождающих лиц [36].
Уровень убедительности рекомендаций С (Уровень достоверности доказательств - 4)
2.2 Физикальное обследование
Рекомендуется осмотр врача-нейрохирурга (либо специалиста, оказывающего неотложную помощь) детям, получившим травму головы, либо имеющим подозрение на травму мозга [1,9,10].
Уровень убедительности рекомендаций С (Уровень достоверности доказательств - 5)
Рекомендуется консультация в условиях специализированного стационара для исключения внутричерепных гематом и других повреждений, представляющих угрозу для жизни [1,9,10]
Уровень убедительности рекомендаций С (Уровень достоверности доказательств - 5)
Настоятельно рекомендован тщательный общий осмотр пациента с тяжелой ЧМТ, включая внешний осмотр, пальпацию позвоночника, грудной клетки и ребер, живота, лицевого скелета. Обязателен поиск внечерепных повреждений, поскольку любая ЧМТ может оказаться сочетанной [37-39].
Уровень убедительности рекомендаций С (Уровень достоверности доказательств - 4)
Комментарии:
При первичной оценке состояния пациента с тяжелой ЧМТ необходимо установить ее характер (закрытая/открытая; проникающая/непроникающая; изолированная/сочетанная/комбинированная) и субстрат повреждения (ДАП/очаги ушибов/оболочечные гематомы; повреждения костных структур; наличие или отсутствие субарахноидального кровоизлияния; а также подробно описать повреждение мягких тканей и экстракраниальных структур (грудная/брюшная полость; шейный отдел позвоночника; скелетная травма, таз).
Рекомендуется использовать шкалу ISS (InjurySeverityScore) (Приложение Г10) для оценки тяжести сочетанных повреждений у пациентов с тяжелой сочетанной черепно-мозговой травмой [107]
Уровень убедительности рекомендаций В (Уровень достоверности доказательств - 2)
Комментарии:
При оценке неврологического статуса учитывается влияние медикаментозной седации. Особое внимание уделяется пациентам (дети, подростки) в состоянии алкогольного опьянения, у которых при легкой ЧМТ могут наблюдаться очаговые неврологические симптомы. Проводится отдельная оценка очаговых, общемозговых, менингеальных и стволовых симптомов поражения.
При оценке стволовых рефлексов у пациентов в бессознательном состоянии проводится следующий алгоритм:
1) оценка реакцию на болевое раздражение (открывает-не открывает глаза, локализует/не локализует боль/сгибательная/разгибательная реакция/отсутствие реакции);
2) оценка фотореакции, наличие анизокории, размеры зрачков,
3) оценка роговичных рефлексов,
4) оценка окулоцефалических и окуловестибулярных рефлексов (противопоказано при травме шейного отдела позвоночника),
5) оценка кашлевого рефлекса (при санации трахеи)
2.3 Лабораторные диагностические исследования
Всем пациентам с тяжелой ЧМТ при поступлении рекомендовано провести:
1) общий (клинический) анализ крови с подсчетом уровня тромбоцитов проводится для выявления состояния [40]
Уровень убедительности рекомендаций С (Уровень достоверности доказательств - 4)
2) анализ крови общий (клинический) анализ крови, анализкрови биохимический общетерапевтический, коагулограмма (ориентировочное исследование системы гемостаза), общий (клинический) анализ мочи для оценки состояния внутренних органов (печени, почек, поджелудочной железы, желчного пузыря и др.), выявления/исключения активного воспалительного процесса, а также нарушений водно-солевого обмена.[141, 142]
Уровень убедительности рекомендаций С (Уровень достоверности доказательств - 4)
3) коагулограмма (ориентировочное исследование системы гемостаза) для выявления состояния [41,42]
Уровень убедительности рекомендаций С (Уровень достоверности доказательств - 4)
4) исследование кислотно-основного состояния и газов крови для выявления состояния [43]
Уровень убедительности рекомендаций В (Уровень достоверности доказательств - 3)
2.4 Инструментальные диагностические исследования
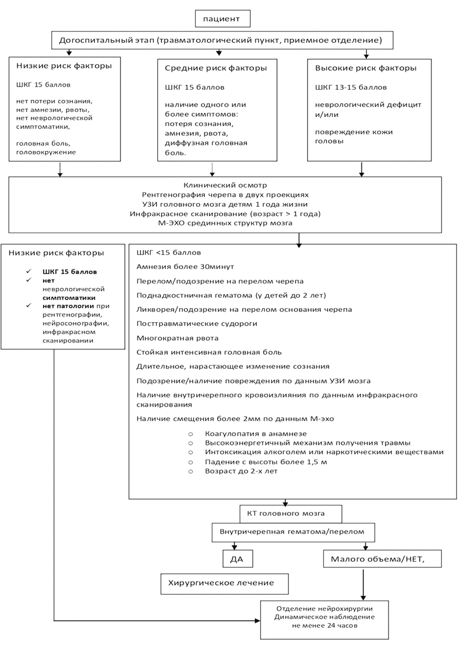
Рекомендуется компьютерная томография головного мозга (А06.23.004 номенклатура МУ) пострадавшим со среднетяжелой (ШКГ 12–9 баллов) и тяжелой ЧМТ (ШКГ 8–3 балла) как метод первого выбора в диагностике травматических повреждений головного мозга в условиях неотложной специализированной помощи, который позволяет объективно быстро оценить внутричерепную ситуацию. Показания к проведению КТ при травме головы с уровнем бодрствования 15-13 баллов ШКГ (легкая черепно-мозговая травма) основаны на наличии риск-факторов внутричерепных повреждений [14, 44, 143].
Уровень убедительности рекомендаций В (Уровень достоверности доказательств - 3)
Комментарии:
Высокие риск-факторы внутричерепных повреждений
1. ШКГ менее 15 баллов
2. снижение ШКГ на 2 балла в течение клинического мониторинга
3. амнезия более 30 минут
4. очаговая неврологическая симптоматика
5. диагностированный перелом черепа или подозрение на перелом
6. наличие обширной гематомы волосистой части головы (у детей до 2-х лет)
7. подозрение на открытую черепно-мозговую травму (профузное кровотечение/подозрение на ликворею из носоглотки, ушей, симптом «очков», кровоподтек в области сосцевидного отростка)
8. посттравматические судороги
9. утрата сознания после травмы
10. многократная рвота при отсутствии других причин
11. интенсивная головная боль после травмы, общее беспокойство, изменение поведения
12. травма черепа у пациентов, страдающих коагулопатией
13. нейрохирургическая патология в анамнезе
14. интоксикация алкоголем или другими веществами угнетающими ЦНС
15. падение с высоты
16. возраст до 2 лет
17. высоко-энергетичный механизм травмы
Данные КТ позволяют объективизировать объем повреждений и могут рассматриваться как предикторы исхода.
Неблагоприятные исходы коррелируют с нарастанием диффузной формы повреждения головного мозга от I до IV по КТ классификации Marshall (Приложение Г4), наличием крови в базальных цистернах, наличием внутричерепных гематом и очагов ушиба мозга, создающих масс-эффект. Сдавление или отсутствие базальных цистерн на КТ является высоким фактором риска внутричерепной гипертензии [3,7,10,11,18].
При подозрении на краниовертебральную травму, перелом шейного отдела позвоночника (согласно Канадским критериям высокого риска повреждения ШОП) рекомендована компьютерная томография шейного отдела позвоночника, при невозможности ее проведения – рентгенография шейного отдела позвоночника в 2 проекциях [45].
Уровень убедительности рекомендаций С (Уровень достоверности доказательств - 5)
Комментарии:
Канадские критерии высокого риска повреждения (ШОП):
1) Падение с высоты более 1 м
2) После аксиальной нагрузки на голову (ныряние)
3) После ДТП с высокой скоростью, при мотоциклетной травме или травме на самоходных аппаратах (скутер)
4) При наличии парестезий в конечностях
5) Дополнительно: лица в бессознательном состоянии с неизвестным анамнезом.
При наличии переломов и подозрении на перелом костей свода черепа на краниограммах пострадавшие должны быть направлены на КТ головного мозга для исключения внутричерепных повреждений [46]
Уровень убедительности рекомендаций С (Уровень достоверности доказательств - 5)
Рекомендована рентгенография всего черепа, в 2-х проекциях всем пострадавшим с уровнем сознания 15–14 баллов ШКГ при подозрении на ЧМТ, подозрении на перелом основания и свода черепа, неясный анамнез травмы [9,14, 46]
Уровень убедительности рекомендаций С (Уровень достоверности доказательств - 5)
Компьютерно-тоографический -мониторинг головного мозга (повторное исследование) рекомендован при нарастании неврологических нарушений, нарастании внутричерепной гипертензии/ при рефрактерной внутричерепной гипертензии, при отсутствии возможности оценить неврологический статус (длительная седация, релаксация) [47, 108, 109]
Уровень убедительности рекомендаций С (Уровень достоверности доказательств - 4)
Всем пациентам с тяжелой ЧМТ (ШКГ 3-8 Б.) при поступлении рекомендовано провести регистрацию электрокардиограммы для оценки состояния функции сердца [48]
Уровень убедительности рекомендаций С (Уровень достоверности доказательств - 4)
Всем пациентам с тяжелой ЧМТ при поступлении для исключения сочетанных повреждений рекомендована спиральная компьютерная томография легких или рентгенография легких[144]
Уровень убедительности рекомендаций С (Уровень достоверности доказательств - 5)
Всем пациентам с тяжелой ЧМТ при поступлении рекомендовано КТ органов брюшной полости или УЗИ органов брюшной полости (комплексное) для исключения сочетанных повреждений [49, 51, 115]
Уровень убедительности рекомендаций В (Уровень достоверности доказательств - 2)
Рекомендуется ближняя инфракрасная спектроскопия головного мозга (БИКС, инфракрасное сканирование головного мозга) (А12.30.006 номенклатура МУ), как дополнительный к неврологическому осмотру, аппаратный метод обследования всем пострадавшим с уровнем сознания 15–14 баллов ШКГ с подозрением на ЧМТ, при оказании первичной медико-санитарной помощи, специализированной медицинской помощи, скорой медицинской помощи с целью исключения внутричерепных кровоизлияний (гематом) [16, 27, 29].
Уровень убедительности рекомендаций В (Уровень достоверности доказательств - 2)
Комментарии:
При необходимости БИКС (инфракрасное сканирование головного мозга) проводится в динамике через каждые 20 минут.
Легкая ЧМТ занимает 90% от всех травм головы. КТ исследование проводят только 25% пациентам, а 75% пострадавших детей остаются без аппаратного обследования. Визуальная диагностика кровоизлияния в мозг при легкой ЧМТ (ШКГ 14–15 балла) у детей затруднительна, а иногда невозможна, т. к. для детей характерно «атипичное» течение и отсутствие клинических проявлений. Поздняя диагностика кровоизлияния в мозг как правило приводит к осложнениям, длительному лечению, длительной реабилитации, летальному исходу.
При отсутствии возможности проведения КТ/МРТ для детей 1 года жизни рекомендована нейросонография для исключения внутричерепных повреждений, представляющих угрозу для жизни, в том числе и с целью клинико-сонографического мониторинга [1, 52].
Уровень убедительности рекомендаций С (Уровень достоверности доказательств - 5)
Рекомендуется проведение МРТ головного мозга как следующая опция для уточнения объема и характера повреждения в случаях диффузно-аксонального повреждения и ушибов мозга при доступности исследования [53, 54]
Уровень убедительности рекомендаций В (Уровень достоверности доказательств - 2)
Комментарии:
Показанием к проведению МРТ у детей может быть сам факт ЧМТ, сопровождающийся появлением очаговой неврологической симптоматики.
Результаты МРТ исследования могут быть использованы в прогнозе исходов ЧМТ у детей.
Объем исследования диктуется тяжестью состояния пострадавшего ребенка. Методика МРТ является компромиссом между максимально возможным качеством изображения, полноты и достоверности информации о состоянии исследуемой зоны с одной стороны и минимальным суммарным временем исследования. Это обусловлено низкой толерантностью больного с болевым синдромом или травматическим шоком, необходимостью многоплоскостного исследования из-за сложной конфигурации патологического процесса, необходимостью получения многопараметрических характеристик травматических повреждений. Возможно сокращения продолжительности протокола исследования до 5 - 10 минут за счет увеличения значений параметра фактора ускорения, изменения времени релаксации, размеров вокселя или матрицы, снижения значений параметра сигнал\шум.
Основной протокол МРТ головного мозга при ЧМТ (Приложения Г5, Г6):
1) ориентировочные быстрые программы для получения срезов головного мозга в сагиттальной, аксиальной и фронтальной плоскостях;
2) аксиальная проекция Т2ВИ TSE, толщина среза 3 – 4 мм, число срезов до 31;
3) аксиальная проекция Т2ВИFLAIR, толщина среза 3 – 4 мм, число срезов до 31;
4) Т2*ВИ GE = SWI (чаще 3D в основной аксиальной проекции)
5) сагиттальная проекция Т2ВИ FLAIR, толщина среза 3 – 4 мм, число срезов 27;
6) фронтальная проекция Т1ВИ FLAIR или Т1ВИ GE, толщина среза 3 мм;
7) 3D ДВИ в основной аксиальной проекции
При анализе данных МРТ у пациентов ЧМТ, кроме визуальной оценки состояния головного мозга по изменению сигнальной характеристики мозговой ткани, для объективизации наличия или отсутствия объемных нарушений проводится ряд измерений. Измеряются следующие показатели: смещение срединных структур, объемы очагов ушибов и гематом, желудочков, степень деформации цистерн, линейные размеры.
Смещение срединных структур измеряется на уровне прозрачной перегородки. Площади вычисляются путем обвода контуров интересующей зоны. Объем определяется по формуле для вычисления объема эллипсоида:

Таблица 3. Протокол проведения МРТ при ЧМТ для томографа 1,5 Т.

Примечания к таблице 3
· Соблюдайте порядок импульсных последовательностей.
· Последовательности 2DFLAIR, 2DT2 выполняются с прямоугольным полем обзора.
· Фильтры нормализации при предварительном сканировании и коррекции искажений отключены во всех последовательностях.
Таблица 4
Протокол проведения МРТ при ЧМТ для томографа 3,0 Т.

Примечания к таблице 4:
· Соблюдайте порядок импульсных последовательностей.
· Последовательности 2DFLAIR, 2DT2 выполняются с прямоугольным полем обзора.
· Фильтры нормализации при предварительном сканировании и коррекции искажений отключены во всех последовательностях.
Таблица 5.
Алгоритм базовой и ВЧД ориентированной терапии детей с ТЧМТ

Таблица 6.
Алгоритм принятия решения и выполнения декомпрессивной краниэктомии

Приложение В. Информация для пациента
Приложение Г1-ГN. Шкалы оценки, вопросники и другие оценочные инструменты состояния пациента, приведенные в клинических рекомендациях
Приложение Г1. Шкала комы Глазго
Название на русском языке: Шкала комы Глазго
Оригинальное название (если есть): Glasgow coma scale
Источник (официальный сайт разработчиков, публикация с валидацией): Buyukcam F. et al. Predicting the outcome in children with head trauma: comparison of FOUR score and Glasgow Coma Scale //Ulusal Travma Ve Acil Cerrahi Dergisi-Turkish Journal Of Trauma & Emergency Surgery. – 2012. – Т. 18. – №. 6.
Тип: шкала оценки
Назначение: для оценки уровня бодрствования
Содержание (шаблон):
Открывание глаз | Речевая реакция | Двигательная реакция |
|---|---|---|
1- нет | 1 - нет | 1 - нет |
2 - на боль | 2 - стоны или вздохи, речи нет | 2 - разгибание на боль |
3 - на звук | 3 - раздельные слова | 3 - сгибание на боль |
4 - спонтанное | 4 - фразовая речь | 4 - отдергивание на боль |
| 5 - развернутая речь | 5 - локализация боли |
|
| 6 - выполнение инструкций |
Ключ (интерпретация):
Баллы суммируются. Возможный результат от 3 до 15.
15 баллов – ясное сознание
13–14 баллов – умеренное оглушение
11–12 баллов – глубокое оглушение
9–10 баллов – сопор
7–8 баллов – умеренная кома
4–6 балла – глубокая кома
3 балла – терминальная кома
Приложение Г2. Педиатрическая шкала комы Глазго
Название на русском языке: Педиатрическая шкала комы Глазго (для детей младше 4-х лет)
Оригинальное название (если есть):
Источник
Teasdale G, Jennett B. Assessment of coma and impaired consciousness. A practical scale. Lancet 1974,
Morray JP et al: Coma scale for use in brain-injured children. Critical Care Medicine 12:1018, 1984. doi: 10.1097/00003246-198412000-00002 [152, 153]
Тип: шкала оценки
Назначение: для оценки уровня бодрствования
Содержание (шаблон):
Открывание глаз | Речевая реакция | Двигательная реакция |
|---|---|---|
1- нет | 1 – отсутствует
| 1 - отсутствует |
2 - на боль | 2 - не успокаивается при плаче, беспокоен | 2 - патологическое разгибание на боль |
3 - на звук | 3 - при плаче успокаивается, но ненадолго, стонет | 3 – патологическое сгибание на боль |
4 - спонтанное | 4 - ребёнка при плаче можно успокоить, интерактивность неполноценная | 4 - отдергивание на боль |
| 5 - ребёнок улыбается, ориентируется на звук, следит за объектами, интерактивен | 5 - локализация боли |
|
| 6 - выполнение инструкций |
Ключ (интерпретация):
Баллы суммируются. Возможный результат от 3 до 15.
15 баллов – ясное сознание
13–14 баллов – умеренное оглушение
11–12 баллов – глубокое оглушение
9 –10 баллов – сопор
7 – 8 баллов – умеренная кома
4 – 6 балла – глубокая кома
3 балла – терминальная кома
Приложение Г3. КТ шкала Мarshall
Название на русском языке:
Оригинальное название (если есть): Marshall computed tomographic classification
Источник (официальный сайт разработчиков, публикация с валидацией): Marshall L. F. et al. The diagnosis of head injury requires a classification based on computed axial tomography //J neurotrauma. – 1992. – Т. 9. – №. Suppl 1. – С. S287-S292.
Тип: шкала оценки
Назначение: оценить тяжесть травмы и определить тактику лечения.
Содержание (шаблон) и Ключ (интерпретация):
I | Нет видимой патологии |
|---|---|
II | Диффузное повреждение (прослеживаются цистерны, смещение срединных структур 0-5мм и/или небольшой (<25см3) высокой или гетерогенной интенсивности очаг) |
III | Диффузное повреждение и отек |
IV | Диффузное повреждение и смещение |
V | Эвакуированное объемное повреждение |
VI | Не эвакуированное объемное повреждение >25см3 |
Приложение Г4. Бальная прогностическая КТ шкала
Название на русском языке: Бальная прогностическая КТ шкала
Оригинальное название (если есть): RotterdamCTscore
Источник (официальный сайт разработчиков, публикация с валидацией): Maas AI, Hukkelhoven CW, Marshall LF, Steyerberg EW. Prediction of outcome in traumatic brain injury with computed tomographic characteristics: a comparison between the computed tomographic classification and combinations of computed tomographic predictors. Neurosurgery. 57 (6): 1173-82; discussion 1173-82.
Тип: шкала оценки
Назначение: оценка тяжести повреждения и прогноз
Содержание (шаблон):
Базальные цистерны: 0 – не сдавлены, 1 – сдавлены, 2 – отсутствуют
Смещение срединных структур: 0 – нет или ≤ 5mm, 1 - > 5mm
Эпидуральная гематома ≥ 25 мл: 0 – есть, 1- нет
ВЖК или САК: 0 – нет, 1 - есть
Ключ (интерпретация):
Инструкция: после подсчета к сумме добавить еще 1 балл. Летальность через 6 месяцев после травмы
• 1 балл: 0%
• 2 балла: 7%
• 3 балла: 16%
• 4 балла: 26%
• 5 баллов: 53%
• 6 баллов: 61%
Приложение Г5. Классификация повреждений ствола R. Firsching
Название на русском языке: Классификация повреждений ствола R. Firsching
Оригинальноеназвание (еслиесть): Classification of Severe Head Injury Based on Magnetic Resonance Imaging
Источник (официальный сайт разработчиков, публикация с валидацией): Firsching R. et al. Classification of severe head injury based on magnetic resonance imaging //Acta neurochirurgica. – 2001. – Т. 143. – №. 3. – С. 263-271.
Тип: шкала оценки
Назначение: оценка тяжести повреждения, прогноз
Содержание (шаблон) и ключ (интерпретация):
Уровень повреждения | Градация |
|---|---|
Только супратенториальные повреждения | Grade I |
Односторонние повреждения ствола мозга на любом уровне ± супратенториальные повреждения | Grade II |
Двухсторонние повреждения среднего мозга ± супратенториальные повреждения | Grade III |
Двухсторонние повреждения моста ± повреждения предыдущих групп | Grade IV |
Приложение Г6. Шкала исходов Глазго
Название на русском языке: Шкала исходов Глазго
Оригинальное название (если есть): Glasgow Outcome Scale
Источник (официальный сайт разработчиков, публикация с валидацией): Crouchman M. et al. A practical outcome scale for paediatric head injury //Archives of disease in childhood. – 2001. – Т. 84. – №. 2. – С. 120-124.
Тип: шкала оценки
Назначение: оценка исходов пациента
Содержание (шаблон) и ключ (интерпретация):
Исход | Градация |
|---|---|
Смерть | 1 |
Стойкое вегетативное состояние. Пациент не проявляет никаких корковых функций. | 2 |
Тяжелая инвалидизация В повседневной жизнедеятельности пациент зависит от окружающих в связи с умственными или физическими нарушениями или их сочетанием. | 3 |
Умеренная инвалидизация Пациент независим в повседневной жизни. Инвалидизация включает различные степени афазии, гемипареза или атаксии, равно как и нарушения интеллекта и памяти или личностные изменения. | 4 |
Хорошее восстановление Восстановление нормальной деятельности, даже несмотря на возможное наличие минимального неврологического или психологического дефицита. | 5 |
Пояснения: оценка выполняется через 6 месяцев после травмы
Приложение Г7. Расширенная шкала исходов Глазго
Название на русском языке: Расширенная шкала исходов Глазго
Оригинальное название (если есть): Glasgow Outcome Scale–Extended
Источник (официальный сайт разработчиков, публикация с валидацией): Beers S. R. et al. Validity of a pediatric version of the Glasgow Outcome Scale–Extended //Journal of neurotrauma. – 2012. – Т. 29. – №. 6. – С. 1126-1139.
Тип: шкала оценки
Назначение: оценка состояния
Содержание (шаблон) и ключ (интерпретация) :
Расширенная ШИГ | Градация |
|---|---|
Смерть в первые сутки | 1 |
Смерть в течение месяца | 2 |
Вегетативное состояние | 3 |
Тяжелая нейромышечная несостоятельность | 4 |
Тяжелая познавательная несостоятельность | 5 |
Умеренная несостоятельность | 6 |
Легкая несостоятельность | 7 |
Хорошее восстановление | 8 |
Полное восстановление | 9 |
Пояснение: оценка выполняется в течение 1месяца после травмы
Приложение Г8. Шкала комы FOUR (Full Outline of Un Responsiveness)
Название на русском языке: Шкала комы FOUR
Оригинальное название (если есть): FOUR (Full Outline of UnResponsiveness)
Источник (официальный сайт разработчиков, публикация с валидацией): Buyukcam F. et al. Predicting the outcome in children with head trauma: comparison of FOUR score and Glasgow Coma Scale //Ulusal Travma Ve Acil Cerrahi Dergisi-Turkish Journal Of Trauma & Emergency Surgery. – 2012. – Т. 18. – №. 6.
Тип: шкала оценки
Назначение: детализирует неврологический статус, распознает синдром запертого человека, дает оценку рефлексам ствола мозга, дает оценку дыхательному паттерну, выявляет различные стадии дислокации (вклинения) мозга. Шкала комы FOUR предоставляет дополнительную информацию о прогнозе у больных с низким баллом по шкале комы Глазго
Содержание (шаблон): Шкала комы FOUR включает 4 параметра с максимальной оценкой «4» по каждому из них: глазные реакции (открывание глаз и слежение), двигательные реакции (ответ на боль и выполнение простых команд), стволовые рефлексы (зрачковый, роговичный и кашлевой) и дыхательные паттерны (ритм дыхания и дыхательные попытки у пациентов на аппарате ИВЛ).
1. Глазные реакции (E)
Глаза открыты, слежение и мигание по команде 4 балла
Глаза открыты, но нет слежения 3 балла
Глаза закрыты, открываются на громкий звук, но слежения нет 2 балла
Глаза закрыты, открываются на боль, но слежения нет 1 балл
Глаза остаются закрытыми в ответ на боль 0 баллов
2. Двигательные реакции (M)
Выполняет команды (знак отлично, кулак, знак мира) 4 балла
Локализует боль 3 балла
Сгибательный ответ на боль 2 балла
Разгибательная поза на боль 1 балл
Нет ответа на боль или генерализованный миоклонический эпистатус 0 баллов
3. Стволовые рефлексы (B)
Зрачковый и корнеальный рефлексы сохранены 4 балла
Один зрачок расширен и не реагирует на свет 3 балла
Зрачковый или роговичный рефлексы отсутствуют 2 балла
Зрачковый и роговичный рефлексы отсутствуют 1 балл
Отсутствуют зрачковый, роговичный и кашлевой рефлексы 0 баллов4.
Дыхательный паттерн (R)
Не интубирован, регулярное дыхание 4 балла
Не интубирован, дыхание Чейн–Стокса 3 балла
Не интубирован, нерегулярное дыхание 2 балла
Сопротивляется аппарату ИВЛ 1 балл
Полностью синхронен с аппаратом ИВЛ или апноэ 0 баллов
Ключ (интерпретация):
Максимальное число баллов по шкале FOUR - 16, минимальное - 0.
16 - Ясное сознание
15 - Умеренное оглушение
13-14 - Глубокое оглушение
9-12 - Сопор
7-8 - Кома I
1-6 - Кома II
0 - Кома III
Пояснение: шкала комы FOUR разработана в Майо Клиник и представлена Э. Ф. Виждиксом и коллегами в 2005 году. Многочисленные исследования подтвердили валидность этой шкалы в условиях отделения нейрореанимации.
Приложение Г9. Шкала классификации сочетанной травмы ISS
Название на русском языке: Шкала классификации сочетанной травмы ISS
Оригинальное название (если есть):
Источник (официальный сайт разработчиков, публикация с валидацией): Brown J. B. et al. The value of the injury severity score in pediatric trauma: time for a new definition of severe injury? //The journal of trauma and acute care surgery. – 2017. – Т. 82. – №. 6. – С. 995.
Тип (подчеркнуть): шкала оценки
Назначение: 0ценка тяжести повреждений
Содержание (шаблон) и ключ (интерпретация):
(перевод баллов AISв баллы ISS)
Легкая (незначительная) <=8
Средняя степень 9-15
Тяжелая степень 16-24
Критическая > =25
Комментарии • 0
Чтобы оставить комментарий, пожалуйста, войдите на портал